Fuentes de Energía en Apendicectomía Laparoscópica en un Programa Académico de Cirugía General en Colombia
Energy Sources in Laparoscopic Appendectomy in an Academic Program of General Surgery in Colombia
Resumen
Introducción. La apendicectomía por laparoscopia se considera el patrón de oro en el tratamiento de la apendicitis aguda. Sin embargo, su disponibilidad es limitada en nuestro sistema de salud, principalmente por los costos asociados.
El objetivo de este estudio fue evaluar la relación entre el uso de los diferentes tipos de energía y los métodos de ligadura de la base apendicular, con las complicaciones postoperatorias, al igual que describir los costos asociados.
Métodos. Estudio observacional analítico de una cohorte retrospectiva de pacientes mayores de 15 años a quienes se les realizó apendicectomía por laparoscopia, en un hospital universitario entre los años 2014 y 2018. Se utilizaron modelos de regresión logística y lineal para evaluar la relación entre métodos de ligadura del meso y base apendicular, desenlaces operatorios y costos.
Resultados. Se realizaron 2074 apendicectomías por laparoscopia, 58,2 % (n=1207) en mujeres, la edad mediana fue de 32 años. En el 71,5 % (n=1483) la apendicitis aguda no fue complicada.
La energía monopolar para la ligadura del meso apendicular fue la utilizada más frecuentemente en 57,2 % (n=1187) y el Hem-o-lok® el más utilizado para la ligadura de la base apendicular en el 84,8 % (n=1759) de los pacientes.
No se observaron diferencias estadísticamente significativas en la tasa de infección del sitio operatorio, reintervención o íleo. El uso de energía simple redujo los costos del procedimiento de manera significativa durante el período evaluado.
Discusión. El uso de energía monopolar demostró ser una técnica segura, reproducible y de menor costo en comparación con el uso de energía bipolar, independientemente de la fase de la apendicitis aguda.
Lo anterior ha permitido que se realicen más apendicectomías por laparoscopia y que los médicos residentes de cirugía general puedan realizar procedimientos laparoscópicos de forma más temprana.
Palabras clave: apendicitis aguda; apendicectomía; laparoscopia; fuentes de energía; ligadura; costos.
Abstract
Introduction. Laparoscopic appendectomy is considered the gold standard in the treatment of acute appendicitis. However, its availability is limited in our health system mainly due to the associated costs. The objective of this study is to evaluate the relationship between the use of different types of energy and the methods of ligation of the appendicular base with postoperative complications, as well as to describe the associated costs.
Methods. Retrospective observational study of a cohort of patients older than 15 years old who underwent laparoscopic appendectomy in a university hospital between 2014 and 2018. Logistic and linear regression models were used to evaluate the relationship between methods of ligation of the meso and appendicular base, operative outcomes and costs.
Results: 2074 laparoscopic appendectomies were performed. Of those, 58.2% (n=1207) were women, median age was 32 years. In 71.5% (n=1483), acute appendicitis was uncomplicated. Monopolar energy for ligation was the most frequently used for ligation of the appendicular meso in 57.2% (n=1187) and Hem-o-lok® the most used for ligation of the appendicular base in 84.8% (n=1759) of the patients.
There were no statistically significant differences in the rate of surgical site infection, reoperation, or ileus. The use of simple energy reduced the costs of the procedure significantly during the study period.
Discussion. The use of monopolar energy proved to be a safe, reproducible and a lower cost technique compared to the use of bipolar energy, regardless of the phase of acute appendicitis. This has allowed more laparoscopic appendectomies to be performed and the general surgery residents to perform laparoscopic procedures earlier.
Keywords: acute appendicitis; appendectomy; laparoscopy; energy sources; ligature; costs.
Introducción – Fuentes de Energía en Apendicectomía Laparoscópica
La apendicitis aguda constituye una de las principales causas de dolor abdominal en las consultas a los servicios de urgencias, representando aproximadamente el 10 % en pacientes con abdomen agudo 1 y corresponde a la principal causa de procedimientos quirúrgicos en los servicios de urgencias 2.
En los países desarrollados se ha establecido una incidencia de alrededor de 5,7 – 50 pacientes por cada 100.000 habitantes/año, y existe una gran variabilidad geográfica en el mundo.
Se espera que la prevalencia aumente en los países en vía de desarrollo de Asia, medio Oriente, Suramérica y África en los próximos años 3.
En el Hospital Universitario San Ignacio, Bogotá, D.C, Colombia, el dolor abdominal es el tercer motivo de consulta más frecuente y la apendicitis aguda se considera la urgencia quirúrgica más común.
En el mundo, la apendicectomía por laparoscopia es considerada como el tratamiento de elección de la apendicitis aguda 1, sin embargo, existe una alta variabilidad en su implementación en los servicios de cirugía general en la práctica clínica, con tasas de procedimiento laparoscópicos menores al 40 % del total de las apendicectomías en países con un ingreso nacional bruto (INB) per cápita menor a 12.235 dólares 4,5.
Entre las barreras identificadas para la implementación de técnicas mínimamente invasivas en cirugía general se encuentran los altos costos asociados a las mismas, la no disponibilidad de recursos tecnológicos, la falta de entrenamiento y el riesgo de aumentar las complicaciones postoperatorias reportadas en estudios previos 6–9.
Se han implementado diferentes estrategias para facilitar el uso de las técnicas laparoscópicas, por ejemplo, la educación a los cirujanos sobre el tipo de insumos utilizados durante los procedimientos, ha logrado disminuir los costos asociados a los mismos 10–12.
Igualmente, la implementación de programas específicos para la adquisición de destrezas en las técnicas quirúrgicas mínimamente invasivas en cirujanos entrenados ha demostrado mejorar la confianza y destreza para la adopción de estas técnicas 6,8,13.
En nuestro programa de cirugía general de la Pontificia Universidad Javeriana se estableció en los últimos seis años una línea de simulación en cirugía laparoscópica, la cual ha permitido una interacción más temprana de los médicos residentes durante el proceso de formación 14.
Adicionalmente, se estableció como protocolo institucional el uso de fuentes de energía simple para el manejo del meso del apéndice, con el objetivo de disminuir los costos asociados al procedimiento.
El objetivo de este trabajo es describir la transición en el cambio del uso de fuentes de energía y su relación con los desenlaces clínicos postoperatorios y costos de los procedimientos asociados en un hospital universitario.
Métodos – Fuentes de Energía en Apendicectomía Laparoscópica
Estudio observacional analítico de una cohorte retrospectiva que incluyó pacientes mayores de 15 años con diagnóstico clínico o imagenológico de apendicitis aguda, llevados a apendicectomía por laparoscopia en el Hospital Universitario San Ignacio, Bogotá, D.C, Colombia, desde 2014 hasta 2018. Se excluyeron pacientes con información incompleta y pacientes en estado de embarazo.
Los datos fueron recolectados mediante la revisión de historias clínica electrónicas registradas en el Sistema de Administración Hospitalaria Integrado (SAHI). Los procedimientos quirúrgicos fueron realizados por residentes de cirugía general de I a IV año.
Variables
En primer lugar, se definió el cuadro de apendicitis aguda como complicada si cumplía con alguna de las siguientes características: apendicitis aguda en fase gangrenosa, apendicitis aguda perforada con absceso periapendicular o peritonitis. En caso de ausencia de alguno de estos factores se consideró el cuadro de apendicitis como no complicada. Se incluyeron variables demográficas como edad, género y comorbilidades.
Adicionalmente, se registraron los diferentes tipos de energía usada para la disección del meso del apéndice, incluyendo energía monopolar, energía bipolar, bisturí HARMONIC ACE®+ Shears (Ethicon EndoSurgery, Cincinnati, OH) o pinza LigaSure™ (ValleyLab, Inc., Boulder, Colorado) y el tipo de ligadura el muñón apendicular, como endonudo, Hem-O-Lok® (Weck Closure Systems, Research Triangle Park, Durham, NC, USA) o sutura mecánica.
Desenlaces primarios y secundarios – Fuentes de Energía en Apendicectomía Laparoscópica
Se utilizó el tiempo quirúrgico registrado en el récord de anestesia, sangrado intraoperatorio, infección del sitio operatorio y reintervención no planeada como desenlaces primarios.
Como desenlaces secundarios se consideraron estancia intrahospitalaria, reingresos y reintervenciones en los siguientes 30 días. Adicionalmente se registraron los costos directos de los procedimientos quirúrgicos asociados a los códigos para apendicitis complicada y no complicada, incluyendo los métodos de ligadura de la base apendicular, el tipo de fuente de energía utilizada y el costo de estancia hospitalaria.
No se incluyeron costos de medicamentos, ni de procedimientos diagnósticos pre ni postquirúrgicos.
Técnica quirúrgica
En nuestra institución se realiza de forma estandarizada la apendicectomía por laparoscopia utilizando 3 puertos: umbilical de 12 mm, un puerto de 5 mm en la fosa iliaca izquierda y uno 12 mm en la región suprapúbica. En primer lugar, se realiza una laparoscopia diagnóstica y se confirma el diagnóstico de apendicitis aguda.
Se utiliza un clamp intestinal y una pinza de grasper o disector de Maryland y se realiza la ligadura de meso apendicular con los dispositivos ya descritos (energía monopolar, energía bipolar, bisturí HARMONIC ACE®+ Shears o pinza ligasure™) o cuando hay inflamación importante del mismo mediante la esqueletización apendicular y el uso de un Hem-O-Lok®.
Finalmente, la ligadura de la base se realiza con endonudo, Hem-O-Lok® o sutura mecánica, según indicación y preferencia del cirujano. La extracción de la pieza quirúrgica se realiza con una bolsa artesanal por el puerto suprapúbico.
Análisis estadístico – Fuentes de Energía en Apendicectomía Laparoscópica
Se realizó el análisis descriptivo de las variables sociodemográficas y clínicas de la población en estudio. Para las variables categóricas se utilizaron medidas de frecuencias absolutas y relativas. Para las variables continuas se usó medidas de dispersión y de tendencia central, de acuerdo con su distribución. En caso de distribución normal se utilizaron promedios y desviación estándar, para variables con distribución no normal se utilizaron medianas y rangos intercuartílicos.
Se realizó un análisis comparativo entre los tipos de energía utilizada y el tipo de ligadura del muñón apendicular. Se utilizó la prueba chi cuadrado de Pearson, la prueba de exactitud de Fischer o la prueba de Mann Whitney, de acuerdo con el tipo de variable cuando estuvo indicado. El valor de p < 0,05 se tomó como límite de significancia estadística.
Para evaluar la relación de los diferentes tipos de energía y el tipo de ligadura del muñón con los desenlaces se realizaron modelos de regresión lineal para los costos de procedimiento previa transformación logarítmica, para cumplir con supuestos de normalidad y homocedasticidad, y un modelo de regresión logística para el desenlace compuesto de infección del sitio operatorio (ISO) y reintervención no planeada, en donde se incluyeron variables con valor de p < 0,2 o con relevancia clínica en los modelos multivariable finales.
Se utilizó el programa estadístico Stata versión 15 (Statacorp, College Station, TX).
Resultados – Fuentes de Energía en Apendicectomía Laparoscópica
En el periodo de estudio se realizaron 3055 apendicectomías, de la cuales el 67,8 % (n=2074) fueron por laparoscopia. Se observó un aumento progresivo en la proporción de apendicectomías por laparoscopia en nuestra cohorte (69,6 % en el 2014, 73 % en el 2015, 72 % en el 2016, 79,1 % en el 2017 y 80 % en el 2018). La mediana de la edad fue de 32 años (RIQ 24-46). El 28,5 % (n=591) de las apendicitis fueron clasificadas como complicadas y el 71,5 % (n=1483) como no complicadas.
En el grupo de los pacientes con apendicitis complicada hubo una menor proporción de mujeres (51,4 % vs. 59,4 %; p<0,001) y la edad promedio fue mayor (36 vs. 30 años; p <0,001) que en el grupo de pacientes con apendicitis no complicada. La fuente de energía monopolar fue usada en el 57,2 % (n=1187) de los pacientes, seguida por la pinza de bisturí Armónico® en el 31,8 % (n=660), el Ligasure™ en el 8,6 % (n=179) y la energía bipolar en 2,3 % (n=48).
En general, se observó una tendencia en el cambio de fuentes de energía durante el periodo del estudio, con una migración de las fuentes de energía avanzada a fuentes de energía simples (figura 1).

Figura 1. Distribución de fuentes de energía por año
Respecto a los métodos de ligadura de la base apendicular, el Hem-O-Lok® fue el más frecuentemente usado en el 84,8 % (n=1759) de los casos, seguido por la ligadura con endonudo en el 6,8 % (n=142) y por último la sutura mecánica en el 2,5 % (n=43) de los pacientes.
Al comparar las fuentes de energía y el método de ligadura del muñón apendicular con respecto al tipo de apendicitis, se encontró que en los pacientes con apendicitis no complicada fue más frecuente el uso de energía monopolar (60,1 % vs. 49,5 %; p>0,001) en contraste con la apendicitis complicada, donde la pinza de bisturí armónico fue la fuente de energía más común (38,1 % vs. 29,2 %; p>0,001).
La sutura mecánica para ligar la base apendicular se utilizó más en los pacientes con apendicitis complicadas, que en los casos no complicados (6,8 % vs. 1,2 %; p<0,001). No hubo diferencias en el uso de Hem-O-Lok® o endonudo respecto al tipo de apendicitis (tabla 1).
Tabla 1. Características de la cohorte según tipo de apendicitis en pacientes llevados a apendicectomía por laparoscopia. Hospital Universitario San Ignacio, Bogotá, D.C, Colombia. 2014 – 2018.

La mediana global de tiempo operatorio fue 50 minutos (RIQ 40 – 60), siendo mayor en los pacientes con apendicitis complicada (60 minutos vs. 50 minutos; p < 0,001) en comparación con los pacientes con apendicitis no complicada (tabla 1).
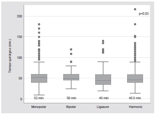
El uso de la pinza de Ligasure™ se asoció con un menor tiempo operatorio comparado con el resto de las fuentes de energías incluidas en el análisis (figura 2), teniendo una mediana de 45 minutos (RIQ 35 – 60) en contraste con 46,5 min (RIQ 40 – 60) para bisturí armónico, 50 minutos (RIQ 45 – 60,5) para energía bipolar, y 52 minutos (40, 60) para energía monopolar (p = 0,03).
Adicionalmente, el uso de Hem-O-Lok® se asoció con disminución en la mediana del tiempo operatorio, siendo 50 minutos (RIQ 40, 60) comparado con 60 minutos (RIQ 40 – 60) para endonudo y 60 minutos (RIQ 40 – 100) para sutura mecánica.

Figura 2. Tiempo operatorio por tipo de fuentes de energía
La mediana del sangrado intraoperatorio fue de 15 ml (RIQ 10 – 10), sin observarse diferencias entre el tipo de apendicitis o el tipo de energía usada.
La estancia hospitalaria tuvo una mediana de dos días (RIQ 2 – 3), el 1,8 % (n= 38) de los pacientes presentaron ISO y el 6,8 % (n= 14) requirieron reintervenciones no planeadas, encontrando colecciones intraabdominales en el 57 % (n= 8) de ellos, dehiscencia de la ligadura del muñón en uno de ellos (7,1 %), en los restantes cinco pacientes (35,7 %) se realizó laparoscopia diagnóstica sin encontrar lesiones o colecciones.
Entre los pacientes con infección del sitio operatorio, el 0,43 % (n= 9) presentaron ISO incisional superficial, un 0,05 % (n= 1) ISO incisional profunda y el 1,35 % (n= 28) ISO órgano/espacio. En total se registraron 1,64 % pacientes (n= 34) con íleo postoperatorio y ocurrió un 5,8 % (n= 122) de reingresos en los primeros 30 días postoperatorios.
Al evaluar la tasa de complicaciones con el tipo de apendicitis, los pacientes con diagnóstico de apendicitis complicada presentaron mayores tasas de ISO (4,2 % vs. 0,9 %; p < 0,001), estancias hospitalarias más largas (mediana 3 días vs. 2 días; p <0,001), mayor tasa de reintervención no planeada (1,7 % vs. 0,3 % p < 0,001) y de reingresos a 30 días (9,1 % vs. 4,6 %; p < 0,001).
Con respecto al tipo de fuente de energía, los pacientes en quienes se realizó disección del meso apendicular con pinza Ligasure™ tuvieron una estancia hospitalaria más corta, sin embargo, no se observaron otras diferencias significativas en la tasa de ISO, o de reintervenciones no planeadas (tabla 2) y no se encontraron diferencias significativas en la tasa de ISO, reintervenciones no planeadas o íleo posquirúrgico en relación con el tipo de ligadura (figura 3).
Tabla 2. Desenlaces clínicos postoperatorios en pacientes llevados a apendicectomía por laparoscopia. Hospital Universitario San Ignacio, Bogotá, D.C, Colombia. 2014 – 2018

Figura 3. Complicaciones postoperatorias por tipo de ligadura del muñón
Costos – Fuentes de Energía en Apendicectomía Laparoscópica
El costo promedio total de una apendicectomía por laparoscopia fue de COP $ 2.773.987 (DE 1.037.405), el cual fue mayor para apendicitis complicada (3.659.235 vs. 2.421.201; p< 0,001). Al evaluar los costos desagregados, el costo promedio por estancia hospitalaria fue de COP $ 964.778,2 (DE 749.572,8), el cual nuevamente fue mayor para las apendicitis complicadas, como era de esperarse (797.943,4 vs. 1.383.418; p < 0,001).
El costo promedio del procedimiento fue de COP $ 1.809.209 (DE 600.921,2), mayor en los casos de apendicitis complicada (2.275.817 vs. 1.623.258; p < 0,001). Durante el periodo del estudio, se observó que posterior a la implementación del protocolo de uso de energía simple para la realización de apendicectomía por laparoscopia hubo una disminución significativa y progresiva de los costos asociados al procedimiento quirúrgico (2014: 2.213.713; 2015: 2.084.380; 2016: 1.602.350; 2017:1.597.401: 2018: 1.556.382; p < 0,001).
Se realizaron análisis multivariable ajustados por tipo de apendicitis, año, fuentes de energía y método de ligadura de apéndice.
Dentro de los factores relacionados con la ISO o reintervención no planeada en el modelo de regresión logística multivariado, se identificó al tipo de apendicitis como el único factor altamente asociado, con un OR del 5,37 (IC95% 2,90 – 9,93; p < 0,001).
Ni las fuentes de energía ni el tipo de ligadura del muñón se asociaron con aumento de la tasa de ISO en esta cohorte (tabla 3).
Tabla 3. Modelo de regresión logística multivariable para desenlace compuesto de infección del sitio operatorio (ISO) y reintervención no planeada

En cuanto al modelo de regresión lineal con los costos asociados al procedimiento, se observó que el uso de sutura mecánica es el principal factor que contribuye al aumento de los costos en nuestra cohorte, seguido por la pinza Ligasure™, el bisturí armónico y la apendicitis complicada.
El uso de Hem-O-Lok® no se asoció con un aumento significativo de los costos (tabla 4).
Tabla 4. Modelo de regresión lineal multivariable para costos del procedimiento

Discusión – Fuentes de Energía en Apendicectomía Laparoscópica
La resección del apéndice por vía laparoscópica es considerada hoy en día como el manejo quirúrgico estándar de la apendicitis aguda 1, representando entre el 60 – 70 % del total de las apendicectomías en países desarrollados, sin embargo, múltiples factores sociodemográficos han sido relacionados con la alta variabilidad en la adopción de esta técnica en diferentes países del mundo 4,15.
Entre las barreras identificadas para la implementación de técnicas mínimamente invasivas en cirugía general se encuentran los altos costos asociados a las mismas.
Las diferencias regionales observadas en el manejo de la apendicitis en los Estados Unidos 16 dejan en claro el impacto que tiene la variabilidad en la práctica clínica en los costos en salud, incluso en países desarrollados. En Colombia, según datos del Sistema Integrado de Información de Protección Social (SISPRO), tan solo el 7,1 % de las apendicectomías fueron realizadas por vía laparoscopia entre los años 2013 – 2015 17.
Hay poca disponibilidad de reportes sobre estrategias para disminuir los costos asociados a la apendicectomía por laparoscopia en el contexto de programas universitarios, y su relación con desenlaces postoperatorios en nuestro medio.
Los resultados de este estudio demuestran un aumento progresivo en la proporción de apendicectomía por laparoscopia realizadas en nuestro programa de cirugía general entre el año 2014 y el 2018, debido a la implementación del protocolo institucional de uso de fuentes de energía simples para la disección del meso del apéndice.
No se observaron diferencias significativas en el sangrado, tiempo operatorio ni complicaciones postoperatorias con el cambio de fuentes de energías, y como resultado se disminuyeron los costos directos asociados al procedimiento quirúrgico.
La integración de estrategias educativas en programas académicos quirúrgicos en Colombia, como los laboratorios de simulación en técnicas laparoscópicas, y las estrategias de mejoramiento de la calidad en los servicios de salud en cirugía general, son mecanismos efectivos para superar las barreras sociodemográficas que tienen países con INB medios-bajos, permitiendo que una mayor proporción de paciente tengan acceso a estándares quirúrgicos internacionales sin aumentar la carga económica a los sistemas de salud.
Aunque en promedio el costo directo de la apendicectomía por laparoscopia es más alto que el de una apendicectomía abierta, los beneficios de la adopción de técnicas mínimamente invasivas de forma sistemática permiten que personas en edad laboral tengan periodos de incapacidad más cortos y menores complicaciones postoperatorias, lo que disminuye otros costos asociados al cuidado de la salud.
Diferentes estudios han evaluado la efectividad de las diversas técnicas para realizar la ligadura del meso apendicular. Aunque se ha documentado mayor dispersión de energía térmica lateral con las fuentes de energía monopolar 18, las fuentes de energía avanzada como los sistemas de energía bipolar tipo Ligasure™, también han mostrado un mayor riesgo de daño térmico lateral en el mesenterio del apéndice y la base apendicular en comparación con el bisturí armónico 19.
Perrin et al., 20 informaron los resultados en 2793 pacientes pediátricos en quienes utilizaron energía monopolar para disecar el mesenterio del apéndice, sin encontrar casos con necesidad de transfusiones sanguíneas o reintervención por sangrado, con un total de 3,7 % de complicaciones asociadas y solo un caso de conversión a cirugía abierta para control de sangrado.
Bhadreshwara et al., 21 no reportaron complicaciones intraoperatorias o postoperatorias en ninguno de los pacientes llevados a apendicectomía por laparoscopia usando electrocauterio monopolar. En nuestra base de datos no se documentaron complicaciones directamente relacionadas con el uso de energía monopolar.
Diferentes estrategias se han evaluado para disminuir el riesgo de lesión térmica. Wright et al., 22 reportaron un análisis comparativo en 565 casos utilizando sutura mecánica para la base y meso apendicular con energía ultrasónica, sin encontrar diferencias significativas en las complicaciones, pero con un menor tiempo operatorio asociado al uso de una sola línea de grapas de sutura mecánica.
Sin embargo, aunque esta estrategia puede ser práctica, los costos asociados al uso de suturas mecánicas limitan su implementación en nuestro sistema.
Las limitaciones de este estudio son las inherentes a la naturaleza retrospectiva, en donde no se puede controlar sesgos de selección ni de asignación. En este sentido, variables como el tiempo de evolución de los cuadros clínicos y comorbilidades asociadas al tipo de población de un hospital de tercer nivel son factores que afectan el riesgo prequirúrgico de los pacientes llevados a cirugía en nuestra cohorte.
Igualmente, la alta variabilidad en las destrezas quirúrgicas entre los médicos residentes de primer y cuarto año agrega dificultad para evaluar la efectividad real de los diferentes tipos de energía en cuanto a tiempo operatorio y sangrado intraoperatorio.
Finalmente, los costos utilizados son los costos promedios de los procedimientos quirúrgicos negociados entre las diferentes empresas promotoras de salud que atiende nuestro hospital, sin incluir la totalidad de los costos de las atenciones hospitalarias, lo cual limita la validez externa de los datos.
Conclusión – Fuentes de Energía en Apendicectomía Laparoscópica
La implementación de protocolos institucionales con el uso de energía monopolar reduce los costos de las técnicas mínimamente invasivas y demuestran ser una estrategia efectiva, segura, reproducible, que permite aumentar la proporción de apendicectomías por laparoscopia, mejorando la adquisición de destrezas por parte de los médicos residentes de cirugía general para la realización de estos procedimientos, y en etapas más tempranas de su entrenamiento, sin aumentar las complicaciones postoperatorias.
Consideraciones éticas
Consentimiento informado: Este estudio es una revisión de historias clínicas retrospectiva, y como tal, no hay necesidad de un consentimiento informado. El diseño y la metodología de este estudio fue aprobado por el Comité de Ética Institucional.
Conflictos de interés: Los autores manifiestan que no tienen conflictos de interés de ninguna naturaleza para el desarrollo de la investigación.
Fuente de financiación: No se recibió ningún tipo de financiación externa para la realización de este trabajo.
Contribución de los autores:
Concepción y diseño del estudio: Laura Gaitán, Aníbal Ariza, Lina Marroquín, Alfonso Márquez, Carlos E. Diaz- Castrillón, Lilian Torregrosa.
Adquisición de datos: Laura Gaitán, Aníbal Ariza, Lina Marroquín, Alfonso Márquez, Carlos E. Diaz-Castrillón, Lilian Torregrosa.
Análisis e interpretación de datos: Laura Gaitán, Aníbal Ariza, Lina Marroquín, Alfonso Márquez, Carlos E. Diaz- Castrillón, Lilian Torregrosa.
Redacción del manuscrito: Laura Gaitán, Aníbal Ariza, Lina Marroquín, Alfonso Márquez, Carlos E. Diaz-Castrillón, Lilian Torregrosa.
Revisión crítica: Laura Gaitán, Aníbal Ariza, Lina Marroquín, Alfonso Márquez, Carlos E. Diaz-Castrillón, Lilian Torregrosa.
Referencias – Fuentes de Energía en Apendicectomía Laparoscópica
1. Di Saverio S, Podda M, De Simone B, Ceresoli M, Augustin G, Gori A, et al. Diagnosis and treatment of acute appendicitis: 2020 update of the WSES Jerusalem guidelines. World J Emerg Surg. 2020;15:27-34. https://doi.org/10.1186/s13017-020-00306-3
2. Stewart B, Khanduri P, McCord C, Ohene-Yeboah M, Uranues S, Vega Rivera F, et al. Global disease burden of conditions requiring emergency surgery. Br J Surg. 2014;101:e9-22. https://doi.org/10.1002/bjs.9329
3. Ferris M, Quan S, Kaplan BS, Molodecky N, Ball CG, Chernoff GW, et al. The Global Incidence of Appendicitis. Ann Surg. 2017;266:237-41. https://doi.org/10.1097/SLA.0000000000002188
4. Gomes CA, Abu-Zidan FM, Sartelli M, Coccolini F, Ansaloni L, Baiocchi GL, et al. Management of Appendicitis Globally Based on Income of Countries (MAGIC) Study. World J Surg. 2018;42:3903-10. https://doi.org/10.1007/s00268-018-4736-1
5. Reiter AJ, Schlottmann F, Kajombo C, Gallaher J, Charles AG. Surgical Outcomes of Acute Appendicitis in high- middle- and low-income countries. Am Surg. 2019;85:e97- 99. https://doi.org/10.1177/000313481908500210
6. Alfa-Wali M, Osaghae S. Practice, training and safety of laparoscopic surgery in low and middle-income countries. World J Gastrointest Surg. 2017;9:13-18 https://doi.org/10.4240/wjgs.v9.i1.13
7. Fuchs Weizman N, Maurer R, Einarsson JI, Vitonis AF, Cohen SL. Survey on barriers to adoption of laparoscopic surgery. J Surg Educ. 2015;72:985-94. https://doi.org/10.1016/j.jsurg.2015.04.001
Bibliografías – Fuentes de Energía en Apendicectomía Laparoscópica
8. Dominguez EP, Barrat C, Shaffer L, Gruner R, Whisler D, Taylor P. Minimally invasive surgery adoption into an established surgical practice: impact of a fellowship- trained colleague. Surg Endosc. 2013;27:1267-72. https://doi.org/10.1007/s00464-012-2594-8
9. Sauerland S, Jaschinski T, Neugebauer EA. Laparoscopic versus open surgery for suspected appendicitis. Cochrane Database Syst Rev. 2010;6:CD001546 https://doi.org/10.1002/14651858.CD001546.pub3
10. Chu T, Chandhoke RA, Smith PC, Schwaitzberg SD. The impact of surgeon choice on the cost of performing laparoscopic appendectomy. Surg Endosc. 2011;25:1187- 91. https://doi.org/10.1007/s00464-010-1342-1
11. Pei KY, Richmond R, Dissanaike S. Surgical instrument standardization – A pilot cost consciousness curriculum for surgery residents. Am J Surg. 2020;219:295-8. https://doi.org/10.1016/j.amjsurg.2019.10.018
12. Gitelis M, Vigneswaran Y, Ujiki MB, Denham W, Talamonti M, Muldoon JP, et al. Educating surgeons on intraoperative disposable supply costs during laparoscopic cholecystectomy: a regional health system’s experience. Am J Surg. 2015;209:488-92. https://doi.org/10.1016/j.amjsurg.2014.09.023
13. Tapia NM, Milewicz A, Whitney SE, Liang MK, Braxton CC. Identifying and eliminating deficiencies in the general surgery resident core competency curriculum. JAMA Surg. 2014;149:514. https://doi.org/10.1001/jamasurg.2013.4406
14. Cuevas L, Diaz C, Cortes N, Pinzon F, Molina G. Apendicectomía y colecistectomía laparoscópica, experiencia y curva de aprendizaje de los residentes de cirugía general del Hospital Universitario San Ignacio durante 7 años. Investig en Educ Médica. 2017;6:e28-9. https://doi.org/10.1016/j.riem.2017.01.070
15. GlobalSurg Collaborative. Laparoscopy in management of appendicitis in high- middle-, and low-income countries: a multicenter, prospective, cohort study. Surg Endosc. 2018;32:3450-66. https://doi.org/10.1007/s00464-018-6064-9
Lecturas Recomendadas – Fuentes de Energía en Apendicectomía Laparoscópica
16. Won RP, Friedlander S, Lee SL. Regional variations in outcomes and cost of appendectomy in the United States. J Surg Res. 2017;219:319-24. https://doi.org/10.1016/j.jss.2017.06.051
17. Buitrago G, Junca E, Eslava-Schmalbach J, Caycedo R, Pinillos P, Leal LC. Clinical Outcomes and Healthcare Costs Associated with Laparoscopic Appendectomy in a Middle-Income Country with Universal Health Coverage. World J Surg. 2019;43:67-74. https://doi.org/10.1007/s00268-018-4777-5
18. Sutton PA, Awad S, Perkins AC, Lobo DN. Comparison of lateral thermal spread using monopolar and bipolar diathermy, the Harmonic Scalpel™ and the Ligasure™. Br J Surg. 2010;97:428-33. https://doi.org/10.1002/bjs.6901
19. Pogorelić Z, Katić J, Mrklić I, Jerončić A, Šušnjar T, Jukić M, et al. Lateral thermal damage of mesoappendix and appendiceal base during laparoscopic appendectomy in children: comparison of the harmonic scalpel (Ultracision), bipolar coagulation (LigaSure), and thermal fusion technology (MiSeal). J Surg Res. 2017;212:101-7. https://doi.org/10.1016/j.jss.2017.01.014
20. Perrin J, Morreau P, Upadhyay V. Is hook diathermy safe to dissect the mesoappendix in paediatric patients? A 10-year experience. N Z Med J. 2019;132:41-7. https://doi.org/10.1039/C9MD90045D
21. Bhadreshwara KA, Amin AB. Comparative study of monopolar cautery and bipolar vessel sealing system in laparoscopic appendectomy. Natl J Integr Res Med. 2014;5:53-5.
22. Wright GP, Mitchell EJ, McClure AM, Onesti JK, Moyo SC, Brown AR, et al. Comparison of stapling techniques and management of the mesoappendix in laparoscopic appendectomy. Surg Laparosc Endosc Percutan Tech. 2015;25:e11-5. https://doi.org/10.1097/SLE.0000000000000040
Autores – Fuentes de Energía en Apendicectomía Laparoscópica
1 Aníbal Ariza, Alfonso Márquez, Médico, especialista en Cirugía general, Hospital Universitario San Ignacio, Bogotá D.C., Colombia.
2 Laura Gaitán, Lina Marroquín, Médica, residente de Cirugía general, Pontificia Universidad Javeriana, Bogotá D.C., Colombia.
3 Carlos E. Diaz-Castrillón, Médico, especialista en Cirugía general, research Fellow, University of Pittsburgh Medical Center, Pittsburgh, Estados Unidos.
4 Lilian Torregrosa, Médica, FACS, especialista en Cirugía general, Cirugía de Seno y Tejidos Blandos y magíster en Bioética; profesor titular, Directora
Departamento de Cirugía y Especialidades, Facultad de Medicina, Pontificia Universidad Javeriana, Hospital Universitario San Ignacio. Presidente, Asociación Colombiana de Cirugía, Bogotá, D.C., Colombia.
Fecha de recibido: 15/09/2020 – Fecha de aceptación: 17/12/2020 – Fecha de publicación en línea: 22/07/2021 Autor de
Correspondencia: Aníbal Ariza, Cra 7a # 40 – 62, Departamento de Cirugía General, Pontificia Universidad Javeriana. Bogotá D.C., Colombia.
Telefono. 317-647 1466.
Correo electrónico. anibal_ariza@hotmail.com Citar como: Ariza A, Gaitán L, Marroquín L, Márquez A, Diaz-Castrillón CE, Torregrosa L. Fuentes de energía en apendicectomía laparoscópica en un programa académico de Cirugía general en Colombia. Rev Colomb Cir. 2021;36:626-36.
https://doi.org/10.30944/20117582.8556
Este es un artículo de acceso abierto bajo una Licencia Creative Commons – BY-NC-ND https://creativecommons.org/licenses/by-ncnd/4.0/deed.es







