ARTÍCULO 2.2.2.5.2.1. Límites máximos de exposición.
Quienes presten servicios y/o actividades de telecomunicaciones deben asegurar que en las distintas zonas de exposición a campos electromagnéticos, el nivel de emisión de sus estaciones no exceda el límite máximo de exposición correspondiente a su frecuencia de operación, según los valores establecidos en la Tabla 1, correspondientes al cuadro l.2/K.52 de la Recomendación UIT-T K.52 “Orientación sobre el cumplimiento de los límites de exposición de las personas a los campos electromagnéticos”.
Se deberá delimitar por letreros o cualquier otro medio visible, la delimitación de las zonas de exposición a campos electromagnéticos:
Primero, de público en general;
Segundo, ocupacional;
Tercero, rebasamiento.
Tabla 1
Límites máximos de exposición según la frecuencia de operación.
Tipo de exposición |
Gama de frecuencias |
Intensidad de campo eléctrico E (V/m) |
Intensidad de campo magnético H (V/m) |
Densidad de potencia de onda plana equivalente,
|
Ocupacional |
9 – 65 KHz |
610 |
24,4 |
– |
0,065 – 1 MHz |
610 |
1,6/f |
– |
|
1-10 MHz |
610/f |
1,6/f |
– |
|
10 – 400 MHz |
61 |
0,16 |
10 |
|
400 – 2.000 MHz |
3 f1/2 |
0,008 f1/2 |
f/40 |
|
2 – 300 GHz |
137 |
0.36 |
50 |
|
Público en general |
9 – 150 KHz |
87 |
5 |
– |
0,15 – 1 MHz |
87 |
0,73/f |
– |
|
1-10 MHz |
87/f1/2 |
0,73/f |
– |
|
10 – 400 MHz |
28 |
0,073 |
2 |
|
400 – 2.000 MHz |
1,375 f1/2 |
0,0037 f1/2 |
f/200 |
|
2 – 300 GHz |
61 |
0,16 |
10 |
NOTAS:
NOTA 1. f es la indicada en la columna gama de frecuencias.
NOTA 2. Para frecuencias entre 100 kHz y 10 GHz, el tiempo de promediación es de 6 minutos.
NOTA 3. Para frecuencias hasta 100 kHz, los valores de cresta pueden obtenerse multiplicando el valor eficaz por √2(»1,414). Para impulsos de duración tp, la frecuencia equivalente aplicable debe calcularse como f = 1/(2tp).
NOTA 4. Entre 100 KHz y 10 MHz, los valores de cresta de las intensidades de campo se obtienen por interpolación desde 1,5 veces la cresta a 100 MHz hasta 32 veces la cresta a 10 MHz.
Asimismo, para valores que sobrepasen 10 MHz, se sugiere que la densidad de potencia de onda plana equivalente de cresta, promediada a lo largo de la anchura del impulso, no sobrepase 1000 veces el límite Seq, o que la intensidad de campo no sobrepase los niveles de exposición de intensidad de campo indicados en el cuadro.
NOTA 5. Asimismo, para frecuencias superiores a 10 GHz, el tiempo de promediación es de 68/f1,05 minutos (f en GHz).
Parágrafo.
Aun cuando los niveles de emisión de las distintas estaciones radioeléctricas que se encuentran dentro de una determinada zona ocupacional, cumplan de manera individual con los límites señalados en la Tabla 1, se debe verificar que el nivel de exposición porcentual para campo eléctrico o magnético sea menor a la unidad, menor al ciento por ciento (100%), según la banda de frecuencia estudiada.
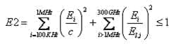
Este nivel se calculará según las expresiones dadas en el numeral I.3 del Apéndice I de la Recomendación UIT-T K.52, “Orientación sobre el cumplimiento de los límites de exposición de las personas a los campos electromagnéticos”, las cuales se muestran a continuación.
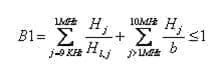
Por lo tanto y de acuerdo con los límites de aplicación de las fórmulas, para el rango de frecuencias entre 100 Khz y 10 MHz se tienen dos resultados para campo eléctrico (E1 y E2) y dos para campo magnético (B1 y B2), se debe tomar el resultado más elevado para la verificación de cada campo.
TABLA 2
Cálculo del Nivel de Exposición Porcentual
(exposición simultánea a múltiples fuentes).
Frecuencias entre 9 KHz y 10 MHz |
Para campo eléctrico: |
Ei |
es la intensidad de campo eléctrico a la frecuencia i (usando un medidor de banda angosta) |
|
El, i |
es el límite de referencia a la frecuencia (tabla 1) |
|||
Hj |
es la intensidad de campo magnético a la frecuencia j (usando un medidor de banda angosta) |
|||
HI,,j |
es el límite de referencia a la frecuencia j (tabla, 1) |
|||
a = |
610 V/m para exposición ocupacional y 87 V/m para exposición del público en general |
|||
b = |
24,4 A/m para exposición ocupacional y 5 A/m para exposición del público en general |
|||
E1 = |
Resultado de la sumatoria para campo eléctrico en este rango de frecuencias |
|||
B1 = |
Resultado de la sumatoria para campo eléctrico en este rango de frecuencias |
|||
Frecuencias Entre 100 KH: y 300 Gl Iz |
Para campo eléctrico: |
Ei |
es la intensidad de campo eléctrico a la frecuencia i (usando un medidor de banda angosta) |
|
El, i |
es el límite de referencia a la frecuencia i (tabla 1) |
|||
Hj |
es la intensidad de campo magnético a la frecuencia j (usando un medidor de banda angosta) |
|||
Hl, j |
es el límite de referencia a la frecuencia j (tabla 1) |
|||
c = |
610/f V/m (f en MHz) para exposición ocupacional y 87/f1/2V/m para exposición del público en general |
|||
d = |
1,6/f A/m (f en MHz) para exposición ocupacional y 0.73/f para exposición del público en general |
|||
E2 = |
Resultado de la sumatoria para campo magnético en este rango de frecuencias |
|||
B2 = |
Resultado de la sumatoria para campo magnético en este rango de frecuencias |
|||
ARTÍCULO 2.2.2.5.2.2. Superación de los límites máximos de exposición.
En caso de que en alguna zona ocupacional el nivel de exposición porcentual llegase a ser mayor a la unidad, debe medirse el nivel de emisión de cada fuente radiante o estación radioeléctrica, también se debe identificar cuáles de ellas superan el límite máximo de exposición correspondiente a su frecuencia de operación.
Aquellas fuentes radiantes o estaciones radioeléctricas que lo superen deben ajustarse empleando técnicas de mitigación que permitan mantener los niveles de emisión dentro de los márgenes permitidos, tales como: Aumentar la altura de las antenas, uso de apantallamientos o mecanismos similares de protección, limitar la accesibilidad de personas a la zona ocupacional en cuestión, reducir la potencia de emisión, trasladar la fuente de radiación a otro sitio, entre otras, hasta que cada una de ellas emita por debajo de su respectivo límite.
Cuando el tamaño del predio lo permita, se podrá trasladar la delimitación de las zonas de exposición a campos electromagnéticos, siempre y cuando la nueva delimitación entre la zona ocupacional y la de público en general siga estando dentro del predio donde se encuentran las estaciones radioeléctricas.
Si una vez cumplido lo anterior, el nivel de exposición porcentual continuase siendo mayor a la unidad, todas las fuentes radiantes debe mitigarse proporcionalmente al aporte que realiza dicha fuente radiante a la sumatoria de la Tabla 2, artículo 2.2.2.5.2.1.
Por lo tanto, el Ministerio de Tecnologías de la Información y las Comunicaciones establecerá un procedimiento de ayuda para definir dicho porcentaje mediante resolución.
Asimismo, independientemente del cumplimiento de los niveles, quienes operen estaciones radioeléctricas, deben incluir dentro de las medidas de protección para los trabajadores, controles de ingeniería y administrativos, programas de protección personal y vigilancia médica, conforme lo establecido en la normatividad vigente de atención y prevención de riesgos profesionales o las que establezcan las autoridades competentes en salud ocupacional, en especial, las contenidas en el Decreto-ley 1295 de 1994 y demás normas que lo modifiquen, adicionen o sustituyan.
Para efectos de la Declaración de Conformidad de Emisión Radioeléctrica, DCER, quienes presten servicios y/o actividades de telecomunicaciones, podrán tipificar antenas para homologar las mediciones, siempre y cuando las condiciones de propagación e instalación sean equivalentes.
Además, independientemente de la tipificación se deben medir todas las estaciones radioeléctricas que se encuentren a menos de 150 metros de centros educativos, centros geriátricos y centros de servicio médico.
De la misma forma, si adyacentes a la estación radioeléctrica existen edificios cuya altura sea comparable a la altura de la fuente radiante, deberán buscarse hot spots en dichos edificios también. Por lo tanto, la responsabilidad de los representantes legales se mantendrá en los términos establecidos en el numeral 3 del artículo 2.2.2.5.1.3. del presente Decreto.
ARTÍCULO 2.2.2.5.2.3. Plazos de cumplimiento.
Por otra parte, quienes presten servicios y/o actividades de telecomunicaciones, deberán entregar al Ministerio de Tecnologías de la Información y las Comunicaciones, en un plazo no superior a dos (2) años la Declaración de Conformidad de Emisión Radioeléctrica de todas sus estaciones radioeléctricas, en el que harán constar el cumplimiento de los límites y condiciones establecidos en el presente capítulo. Es decir que, la declaración DCER se entenderá presentada bajo la gravedad de juramento.
Asimismo, los dos años serán contados a partir de la entrada en vigencia de la resolución que el Ministerio de Tecnologías de la Información y las Comunicaciones expida para definir la metodología de medición y el contenido del formato DCER.
Quienes presten servicios y/o actividades de telecomunicaciones, deberán entregar al Ministerio de Tecnologías de la Información y las Comunicaciones informes de avance de las mediciones en el formato DCER cada seis (6) meses, es decir, a los seis, a los doce y a los dieciocho meses de definida la metodología de medición y el contenido del formato DCER.
Además, los prestadores de servicios y/o actividades de telecomunicaciones deberán priorizar y realizar sus mediciones teniendo en consideración las zonas con mayor concentración de antenas respecto a mayor densidad poblacional.
El Ministerio de Tecnologías de la Información y las Comunicaciones se reserva la facultad de verificar e inspeccionar, de oficio o a solicitud de parte, la información suministrada, por lo mismo, podrá reglamentar el cobro de las mediciones que deba realizar a solicitud de parte.
De igual forma se realizará cuando se requiera verificar las múltiples fuentes de radiación que se encuentren en un mismo lugar. Por su parte, la verificación del cumplimiento versará al menos del cumplimiento con los límites de exposición y con la delimitación de las zonas:
Primero, de público en general;
Segundo, ocupacional, y de
Tercero, rebasamiento.
Por otra parte, quienes presten servicios y/o actividades de telecomunicaciones, deberán actualizar la Declaración de Conformidad de Emisión Radioeléctrica cada cuatro años, contados a partir de la entrega de la Declaración de Conformidad de Emisión Radioeléctrica anterior. Es decir que, dicha DCER deberá soportarse de igual forma con las respectivas mediciones.
(Lea También: Mediciones de Los Límites de Radiación de Las Telecomunicaciones)
ARTÍCULO 2.2.2.5.2.4. Vigilancia y control.
En ejercicio de las funciones de vigilancia y control y sin perjuicio de las funciones atribuidas a las entidades territoriales en relación con la ordenación y uso del suelo, el Ministerio de Salud y Protección Social, el Ministerio de Tecnologías de la Información y las Comunicaciones y el Ministerio de Medio Ambiente y Desarrollo Sostenible, o la Agencia Nacional del Espectro, en el marco de lo dispuesto en el Decreto-ley 1295 de 1994, la Ley 99 de 1993 y demás normas pertinentes, impondrán las sanciones derivadas del incumplimiento de las disposiciones contenidas en el presente Título.
Por otra parte, el Ministerio de Tecnologías de la Información y las Comunicaciones o la Agencia Nacional del Espectro, dentro del marco de sus competencias, impondrán sanciones a quienes presten servicios y/o actividades de telecomunicaciones que no cumplan con las condiciones y límites de exposición de las personas a campos electromagnéticos.
En materia de salud pública, corresponde a las entidades territoriales ejercer las funciones de inspección, vigilancia y control conforme a lo dispuesto en la Ley 715 de 2001, para lo cual podrán aplicar las medidas de seguridad e imponer las sanciones correspondientes, en virtud de lo establecido en los artículos 576 y siguientes de la Ley 9ª de 1979.
Lo anterior, sin perjuicio de la imposición de las medidas preventivas y sancionatorias a que haya lugar en materia de medio ambiente y recursos naturales renovables conforme lo dispone el artículo 85 de la Ley 99 de 1993, por parte de las autoridades ambientales.
Parágrafo.
El Ministerio de Tecnologías de la Información y las Comunicaciones o la Agencia Nacional del Espectro, dentro del marco de sus competencias, también podrán inspeccionar de oficio o a solicitud de parte la instalación y niveles de las fuentes radiantes, con el fin de verificar el cumplimiento de las normas establecidas en el presente Título y demás normas aplicables, para lo cual podrá, según lo considere necesario, efectuar directamente las pruebas de conformidad de estaciones radioeléctricas o acreditar peritos que cumplan con lo establecido en el presente artículo y que no se encuentren incursos en conflicto de intereses respecto a los inspeccionados.
Cuando la medición se realice a solicitud de parte, los gastos de la medición estarán a cargo del responsable de la estación radioeléctrica que presta servicios y/o actividades de telecomunicaciones, si está incumpliendo lo indicado en la presente normativa. Si está cumpliendo, el responsable de los gastos de la medición será el solicitante.
ARTÍCULO 2.2.2.5.2.5. Prueba suficiente.
Las entidades territoriales, en el procedimiento de autorización para la instalación de antenas y demás instalaciones radioeléctricas, en ejercicio de sus funciones de ordenamiento territorial, deberán admitir como prueba suficiente para el cumplimiento de dicho requisito, la copia de la Declaración de Conformidad de Emisión Radioeléctrica con la marca oficial de recibido del Ministerio de Tecnologías de la Información y las Comunicaciones.
Parágrafo.
Por otra parte, para la autorización de instalación de las antenas y demás instalaciones radioeléctricas, los municipios y distritos deberán tener en cuenta las disposiciones que en materia de medio ambiente y recursos naturales renovables hayan expedido las autoridades ambientales conforme lo dispone el artículo 10 de la Ley 388 de 1997 y la compatibilidad con el uso del suelo definido en el respectivo Plan de Ordenamiento Territorial.
ARTÍCULO 2.2.2.5.2.6. Evaluación periódica.
El Ministerio de Tecnologías de la Información y las Comunicaciones, en coordinación con el Ministerio de Medio Ambiente y Desarrollo Sostenible y el Ministerio de Salud y Protección Social, revisarán periódicamente las restricciones básicas y los niveles de referencia adoptados por el Gobierno Nacional, a la luz de los nuevos conocimientos, de las novedades de la tecnología y de las aplicaciones de las nuevas fuentes y prácticas que dan lugar a la exposición a campos electromagnéticos, con el fin de garantizar el nivel de protección más adecuado al medio ambiente, a los trabajadores y la comunidad en general.
Por lo tanto, para la evaluación podrá invitarse para presentar sus opiniones, a personas de los distintos sectores de la sociedad, del académico, gremios y ciudadanos interesados en el tema.
El Ministerio de Tecnologías de la Información y las Comunicaciones adaptará la metodología de medición y los procesos de verificación de cumplimiento, mediante resolución motivada, cuando tal necesidad se evidencie de la revisión y evaluación anual de las restricciones básicas y los niveles de referencia de que trata el párrafo anterior.
ARTÍCULO 2.2.2.5.2.7. Condición para la instalación de nuevas estaciones radioeléctricas, dentro o alrededor de una zona ocupacional ya establecida.
La instalación y operación de Estaciones radioeléctricas dentro, o en las cercanías de una zona ocupacional ya establecida, está condicionada a que el nivel de exposición porcentual en dicha zona, sea menor o igual a la unidad, es decir, menor o igual al ciento por ciento (100%), de acuerdo con lo establecido en el artículo 2.2.2.5.2.1. del presente Decreto.
ARTÍCULO 2.2.2.5.2.8. Coexistencia de las antenas transmisoras sobre una misma infraestructura de soporte o en las zonas de exposición de que trata el numeral 29 del artículo 2.2.2.5.1.3.
En el caso de que en una estación radioeléctrica, más de una persona natural o jurídica autorizada para el uso del espectro, requiera emplazar sus antenas transmisoras sobre la misma infraestructura de soporte, tales como: Torres, mástiles, edificaciones, entre otras, deben verificar que el nivel de exposición porcentual no exceda a la unidad, de acuerdo con lo establecido en el artículo 2.2.2.5.2.1. del presente Decreto. Como consecuencia, los operadores de Estaciones radioeléctricas se suministrarán mutuamente los datos técnicos necesarios para realizar el estudio y verificar el cumplimiento individual y conjunto.
Parágrafo.
En caso de presentarse diferencias con ocasión del cumplimiento de los límites de exposición, en las zonas donde se presentan múltiples fuentes radiantes, y los propietarios de las mismas no ajustan la radiación de la estación radioeléctrica o demás condiciones para el cumplimiento del Nivel de Exposición Porcentual, el Ministerio de Tecnologías de la Información y las Comunicaciones impondrá las sanciones a que haya lugar por el incumplimiento de lo establecido en el presente Título, bajo condiciones que permitan promover la cobertura nacional de los servicios de telecomunicaciones y su modernización.
Bajo los criterios establecidos en la normatividad vigente que permitan la conjunción entre un acceso eficiente y un acceso igualitario propendiendo por que los grupos de población de menores ingresos económicos, los residentes en áreas urbanas y rurales marginales o de frontera, las minorías étnicas y en general los sectores más débiles o minoritarios de la sociedad accedan a los servicios de telecomunicaciones.
ARTÍCULO 2.2.2.5.2.9 Alturas y distancias de seguridad para la instalación de antenas transmisoras.
Finalmente, los operadores de estaciones radioeléctricas deberán consultar los lineamientos contenidos en los textos y cuadros de la Recomendación UIT-T K. 52, según corresponda, para la determinación de las distancias y/o alturas necesarias para determinar la zona de rebasamiento y delimitar la zona ocupacional, alrededor de las antenas a la cual debe limitar el acceso del público en general, por medio de barreras físicas y señalización adecuada.










