Factors Associated with Conversion to Open Technique in Laparoscopic Cholecystectomy
Resumen
Introducción. La colecistectomía laparoscópica es el estándar de oro para el manejo de la patología de la vesícula biliar con indicación quirúrgica. Durante su ejecución existe un grupo de pacientes que podrían requerir conversión a técnica abierta. Este estudio evaluó factores perioperatorios asociados a la conversión en la Clínica Central OHL en Montería, Colombia.
Métodos. Estudio observacional analítico de casos y controles anidado a una cohorte retrospectiva entre 2018 y 2021, en una relación de 1:3 casos/controles, nivel de confianza 95 % y una potencia del 90 %. Se caracterizó la población de estudio y se evaluaron las asociaciones según la naturaleza de las variables, luego por análisis bivariado y multivariado se estimaron los OR, con sus IC95%, considerando significativo un valor de p<0,05, controlando variables de confusión.
Resultados. El estudio incluyó 332 pacientes, 83 casos y 249 controles, mostrando en el modelo multivariado que las variables más fuertemente asociadas con la conversión fueron: la experiencia del cirujano (p=0,001), la obesidad (p=0,036), engrosamiento de la pared de la vesícula biliar en la ecografía (p=0,011) y un mayor puntaje en la clasificación de Parkland (p<0,001).
Conclusión. La identificación temprana y análisis individual de los factores perioperatorios de riesgo a conversión en la planeación de la colecistectomía laparoscópica podría definir qué pacientes se encuentran expuestos y cuáles podrían beneficiarse de un abordaje mínimamente invasivo, en búsqueda de toma de decisiones adecuadas, seguras y costo-efectivas.
Palabras clave: colecistectomía laparoscópica; colelitiasis; colecistitis aguda; factores de riesgo; complicaciones postoperatorias; conversión a cirugía abierta.
Abstract
Introduction. Laparoscopic cholecystectomy is the gold standard for the management of gallbladder pathology with surgical indication. During its execution, there is a group of patients who may require conversion to the open technique. This study evaluated perioperative factors associated with conversion at the OHL Central Clinic in Montería, Colombia.
Methods. Observational analytical case-control study nested in a retrospective cohort between 2018 and 2021, in a 1:3 case/control ratio, 95% confidence level and 90% power. The study population was characterized and the associations were evaluated according to the nature of the variables, then the OR were estimated by bivariate and multivariate analysis, with their 95% CI, considering a value of p<0.05 significant, controlling for confounding variables.
Results. The study included 332 patients, 83 cases and 249 controls, showing in the multivariate model that the variables most strongly associated with conversion were: the surgeon’s experience (p=0.001), obesity (p=0.036), gallbladder wall thickening on ultrasonography (p=0.011), and a higher score in the Parkland classification (p<0.001).
Conclusions. Early identification and individual analysis of the perioperative risk factors for conversion in the planning of laparoscopic cholecystectomy could define which patients are exposed, and which could benefit from a minimally invasive approach, in search of making safe, cost-effective, and appropriate decisions.
Keywords: laparoscopic cholecystectomy; cholelithiasis; acute cholecystitis; risk factors; postoperative complications; conversion to open surgery.
Introducción – Técnica Abierta en la Colecistectomía Laparoscópica
La primera colecistectomía laparoscópica fue realizada en 1985 en Alemania por el doctor Erich Mühe, y desde entonces se ha constituido en el estándar de oro para el manejo de la patología biliar quirúrgica 1.
Este procedimiento ha demostrado ser seguro, con una morbilidad inferior al 3 %, una mortalidad del 0,2 %, y todos los beneficios de la cirugía de mínima invasión como mejores resultados estéticos, menor dolor postoperatorio, posibilidad de manejo ambulatorio o egreso temprano y un reintegro laboral precoz 2.
Existe un grupo de pacientes que durante el acto quirúrgico pueden requerir la conversión al abordaje abierto, considerando esta una decisión de buen juicio para el beneficio y seguridad del paciente, basada en la experiencia y buen criterio del cirujano 3.
Las principales indicaciones para la conversión incluyen procesos inflamatorios severos, adherencias fibróticas y densas, tanto peritoneales como viscerales, que dificulten la disección adecuada del triángulo de Calot limitando la visión crítica de seguridad de Strasberg, hallazgos intraoperatorios de variantes anatómicas y sangrado intraoperatorio de difícil control laparoscópico 4.
En pacientes con colecistitis aguda, se han determinado factores de riesgo preoperatorios asociados a la conversión a técnica abierta como sexo masculino, mayor edad, obesidad, duración de los síntomas, fiebre, riesgo anestésico, leucocitosis, PCR elevada, hipoalbuminemia, elevación de transaminasas, presencia de líquido perivesicular y cálculo impactado 5.
El porcentaje de conversión puede variar entre 1-74 %, con un promedio de 20 %, o ser del 4 % en cirugía electiva y del 8 % en la de urgencia 6.
En Latinoamérica, varía del 10-20 %, y en Colombia, para procedimientos no electivos se ha informado un 15 % 7,8.
El objetivo de esta investigación fue determinar la frecuencia de conversión de la colecistectomía laparoscópica a técnica abierta en un centro de referencia del caribe colombiano e identificar los factores asociados.
Métodos – Técnica Abierta en la Colecistectomía Laparoscópica
Se realizó un estudio de casos y controles anidado a una cohorte retrospectiva de pacientes sometidos a colecistectomía. Se incluyeron los pacientes con edad mayor o igual a 18 años, sometidos a colecistectomía por laparoscopia en una institución de tercer nivel de complejidad, de Montería, Colombia, entre enero de 2018 y junio de 2021.
Y se excluyeron mujeres embarazadas, presencia de patología maligna de vesícula biliar o periampular y colecistectomía subtotal.
Mediante muestreo estratificado aleatorio, se seleccionó el grupo control, definido como aquellos pacientes en quienes se logró completar la cirugía por abordaje laparoscópico.
Se tuvo en cuenta mantener una razón casos/controles de 1:3 y que el número de controles seleccionados fuera proporcional al número de casos por año de cirugía, realizando un emparejamiento grupal, logrando una potencia del 90 %, para detectar al menos un promedio de 20 % de exposición en los controles y un OR de 2,5 para un nivel de confianza del 95 %.
Variables sociodemográficas
Se recolectaron las variables sociodemográficas edad (la cual se dicotomizó teniendo en cuenta el aumento de prevalencia de patologías de la vía biliar por encima de los 40 años), sexo, estrato socioeconómico, lugar de residencia y régimen de salud; variables clínicas como tiempo de inicio de síntomas en meses, antecedentes de cirugía abdominopélvica, ictericia, hipertensión arterial, diabetes, obesidad, temperatura, presencia de signo de Murphy al examen físico, clasificación según los criterios de Tokio 9.
Clasificación prequirúrgica del estado físico de la sociedad americana de anestesiología (ASA); variables séricas como recuento de leucocitos, proteína C reactiva (PCR); las variables imagenológicas de hallazgos ecográficos sugestivos de inflamación, engrosamiento de la pared vesicular; variables operatorias como escala de Parkland y presencia de cálculos; horario de realización de la cirugía, experiencia del cirujano, tipo de cirugía, duración de la cirugía, y otras variables como estancia hospitalaria.
En cuanto al análisis estadístico, las variables cualitativas se expresaron en frecuencias absolutas y relativas, y las cuantitativas en mediana con su rango intercuartílico (p25-p75) debido al no cumplimiento del supuesto de normalidad evaluado mediante la prueba de Kolmogorov-Smirnov.
Para la comparación de las variables cualitativas entre el grupo de casos y controles se utilizó la prueba chi cuadrado y la prueba exacta de Fisher o la prueba de verosimilitud, en caso de ser necesario. Se estimaron las razones de disparidad crudas (OR, por sus siglas en inglés), con sus respectivos intervalos de confianza al 95 % (IC95%).
Para comparar las variables cuantitativas se utilizó la prueba U de Mann-Whitney dado el no cumplimiento del supuesto de normalidad de los datos.
Para el análisis multivariado se hizo regresión logística, utilizando como criterio de ingreso de las variables un valor p < 0,25 (criterio de Hosmer y Lemeshow) y aquellas que, aunque en el análisis bivariado no fueron estadísticamente significativas, se ingresaron al modelo por su importancia clínica.
Se llevaron a cabo dos modelos de análisis multivariados de forma separada, el primero teniendo en cuenta la asociación de factores de riesgo sociodemográficos y clínicos y el segundo incluyendo la escala de Parkland.
Se estimaron los OR ajustados con sus respectivos IC95%; un valor p < 0,05 se consideró estadísticamente significativo. Para evaluar la capacidad discriminativa del modelo se realizó el análisis de Características Operativas del Receptor (COR), estimando el área bajo la curva y sus respectivos intervalos de confianza.
No se incluyeron en el análisis bivariado y multivariado las variables PCR, conteo de leucocitos, hallazgos ultrasonográficos y sangrado intraoperatorio por la pérdida superior al 20 % de sus datos. Todos los datos se analizaron en el paquete estadístico IBM Corp. Released 2020. IBM SPSS Statistics for Windows, Version 27.0. Armonk, NY: IBM Corp.
Resultados – Técnica Abierta en la Colecistectomía Laparoscópica
Durante el periodo de estudio, 571 pacientes fueron sometidos a colecistectomía, de los cuales 564 cumplieron los criterios de elegibilidad. La frecuencia de conversión a cirugía abierta en este grupo fue de 14,7 % (n=83). Se seleccionaron 249 controles (figura 1).

Figura 1. Proceso de selección de los participantes. *De los 564 pacientes se seleccionaron todos los casos (n=83) y los controles (n=249) en una razón 1:3. Fuente: elaboración propia.
Se observó en los casos comparado con los controles una mayor frecuencia de pacientes del sexo masculino (42,2 % vs 25,7 %, p<0,01) y de edad mayor a 40 años (79,5 % vs 55,4 %, p<0,0001). Las demás características sociodemográficas y clínicas se presentan en la tabla 1.
Tabla 1. Características sociodemográficas, clínicas e intraoperatorias de los
pacientes sometidos a colecistectomía laparoscópica.

La mediana del tiempo quirúrgico para los casos que requirieron conversión fue de 70 minutos (RIC:50-95), mientras que para los controles en los que se finalizó el procedimiento de forma laparoscópica fue de 60 minutos (RIC:50-70, p<0,0001). La mediana de estancia hospitalaria para los casos fue de cuatro días (RIC:2-11), en contraste con el tiempo de estancia de los controles (RIC:0-1, p<0,0001).
En cuanto a los hallazgos paraclínicos e imagenológicos, hubo poca disponibilidad de datos sobre estas variables. Solo a 18 pacientes (14 casos y 4 controles) se les registró la prueba de PCR, de estos se observó una alta frecuencia (92,9 %) de casos con valores de PCR mayor a 6 mg/l (tabla 2).
Tabla 2. Hallazgos paraclínicos e imagenológicos de los
pacientes que fueron llevados a colecistectomía.

Los factores clínicos asociados a la conversión fueron obesidad, hipertensión arterial, diabetes, antecedente de cirugía abdomino pélvica y hallazgos al examen físico de signo de Murphy positivo, que fue el factor más fuertemente asociado, con un OR de 4,8 (IC95%: 2,8-8,3; p<0,0001).
En cuanto a los factores operatorios, se observó también asociación estadísticamente significativa con la escala de Parkland, el tipo de procedimiento de urgencia, la presencia de litos y el engrosamiento de la pared vesicular (p<0,0001 en todos los casos) (tabla 3).
Tabla 3. Factores clínicos e intraoperatorios y su relación con la conversión a cirugía abierta

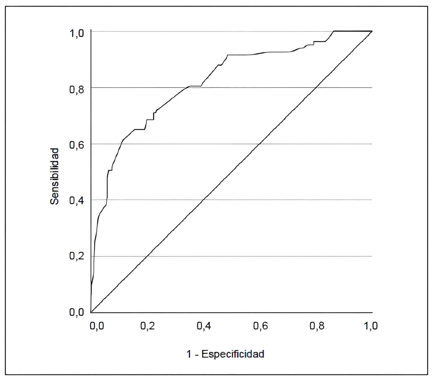
Cuando se realizó el análisis multivariado teniendo en cuenta solo las variables sociodemográficas y clínicas, se obtuvo un buen ajuste del modelo, con un coeficiente de determinación de 35,1 % y una buena discriminación entre casos y controles (área bajo la curva COR de 0,82; IC95%: 0,78-0,87) (figura 2).

Figura 2. Área bajo la curva COR. La grafica muestra una adecuada discriminación, con un área bajo la curva de 0,818, IC95%:0,897 – 0,967. Fuente: elaboración propia.
Los factores como sexo, edad mayor a 40 años, obesidad, antecedente de cirugía previa, signo de Murphy positivo, tipo de procedimiento y engrosamiento de la vesícula permanecieron siendo significativos en presencia de las demás variables (tabla 4).
Tabla 4. Análisis multivariado de los factores sociodemográficos y clínicos.

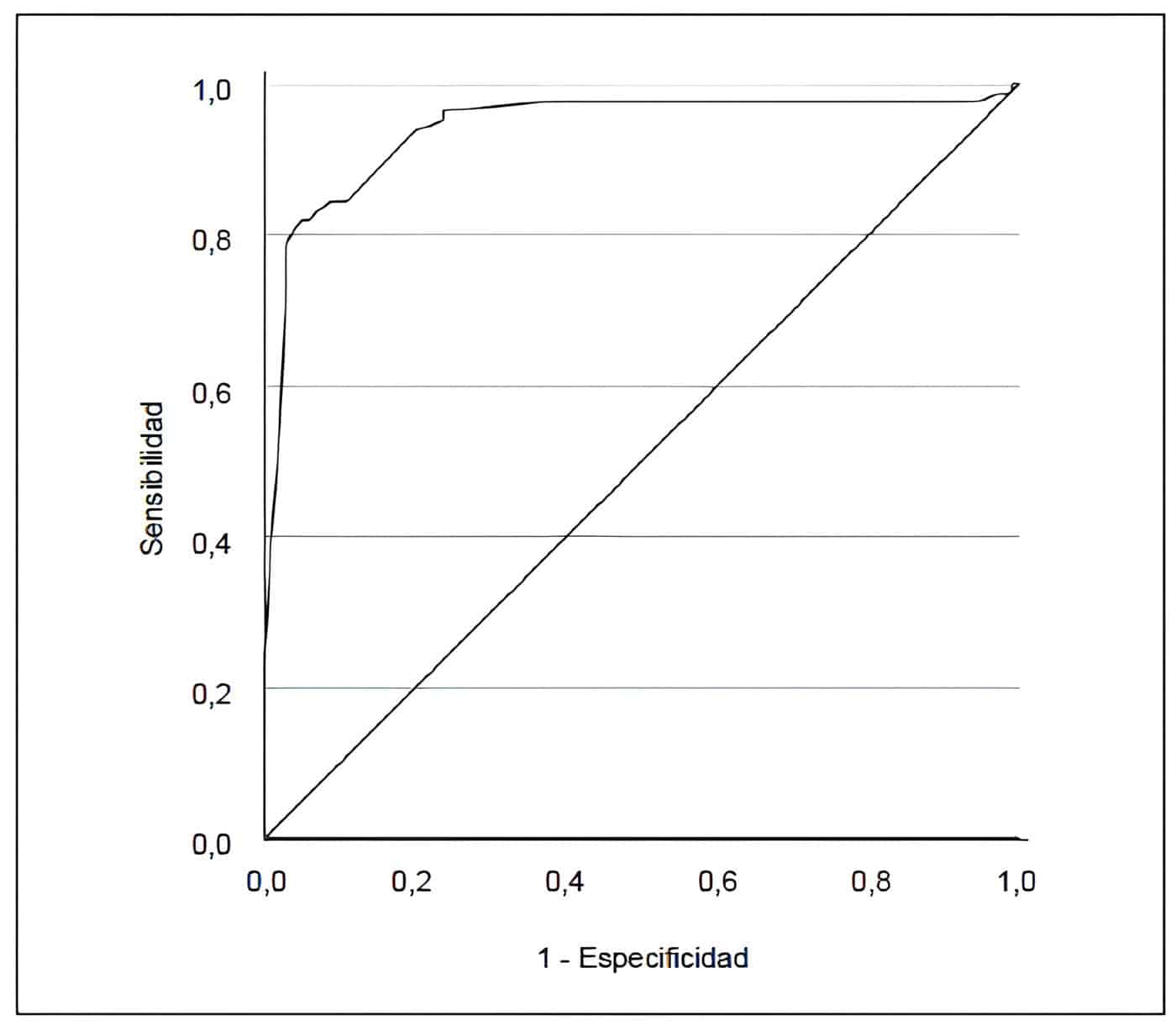
Cuando en el análisis multivariado se incluyeron las variables intraoperatorias, se mejoró el ajuste del modelo, con una determinación de 69,1 % y una excelente discriminación entre grupos (área bajo la curva COR de 0,94; IC95%: 0,91- 0,98) (figura 3).

Figura 3. Área bajo la curva COR. La gráfica muestra una adecuada discriminación, con un área bajo la curva de 0,941, IC95%:0,905 – 0,976. Fuente: elaboración propia
Los factores que permanecieron asociados a la conversión independientemente de la presencia de otras variables fueron la experiencia del cirujano, el engrosamiento de la pared vesicular, la obesidad y la escala de Parkland, siendo esta última el factor más fuertemente asociado a la conversión (tabla 5).
Tabla 5. Modelo multivariado final*

Discusión – Técnica Abierta en la Colecistectomía Laparoscópica
La colecistectomía laparoscópica es el estándar de oro para el manejo de la patología de la vesícula biliar y la intervención laparoscópica más practicada en el mundo 10.
En Colombia se realizan aproximadamente 60.000 colecistectomías laparoscópicas al año, constituyéndose en el procedimiento mínimamente invasivo por abordaje laparoscópico más frecuente. La necesidad opcional de la conversión de abordaje a técnica abierta, entendida como un criterio asertivo para el beneficio y seguridad del paciente, muestra una alternativa válida para la extracción quirúrgica de la vesícula biliar enferma 8.
En nuestra cohorte, se reportó una frecuencia de conversión del 14,7 %, similar a la publicada en la literatura 11.
La escala de Parkland fue desarrollada para estratificar intraoperatoria la gravedad de la enfermedad vesicular y discriminar la dificultad de la colecistectomía laparoscópica, por medio de un sistema de calificación de cinco niveles; es fácil de implementar, confiable, altamente reproducible y se basa en la visibilidad adecuada de la anatomía hepatobiliar y los cambios inflamatorios 12.
En este estudio, se logró demostrar a través del análisis multivariado una asociación significativa de la variable escala de Parkland y la conversión a técnica abierta, similar a los hallazgos de otro estudio donde se demostró que el aumento de grado de la escala de Parkland está asociado con una mayor dificultad de la cirugía, tasas de conversión, duración de la operación e incidencia de fuga del conducto biliar postoperatorio 13.
La denominada “colecistectomía difícil” continúa siendo una de las indicaciones más frecuentes para la conversión a cirugía abierta, para prevenir complicaciones o para continuar la cirugía con mayor seguridad y tranquilidad.
Esta se caracteriza por la falta de visión crítica de las estructuras anatómicas por el proceso inflamatorio severo, fibrosis con cicatrización del lecho hepatobiliar, adherencias densas, firmes, difusas y extensas, sangrado incontrolable, perforaciones, necrosis o fistulas, que conlleva a mayores tasas de conversión 14,15.
Se evaluó la experiencia en años laborales del cirujano como un posible factor asociado a la reducción de tasa de conversión, encontrando en este estudio mayor probabilidad de conversión con los especialistas quirúrgicos de más de 20 años de experiencia, lo que puede relacionarse con el hecho de que los programas de entrenamiento para procedimientos mínimamente invasivos en Colombia solo se introdujeron formalmente en 2005, por lo que muchos cirujanos mayores no tuvieron este tipo de entrenamiento durante su periodo de formación 6.
Resultados similares se encontraron en otros estudios, donde la mayor experiencia quirúrgica en años desde la obtención del título de especialista en cirugía y el alto volumen de procedimientos se asociaron con un mayor riesgo de conversión 16,17.
Se espera que una vez superada la curva de aprendizaje y el entrenamiento formal que proporcionen preparación adecuada en el abordaje laparoscópico, el índice de conversiones disminuya y permanezca estable 18.
La colecistitis aguda es un proceso inflamatorio que se caracteriza por el engrosamiento parietal de más de 4 mm identificado en estudios de imágenes diagnósticas, lo que se relaciona con una alta tasa de morbilidad y complicaciones si no se maneja oportunamente 19.
Entre nuestros casos, una de las causas relacionada con la conversión fue el engrosamiento inflamatorio de la pared de la vesícula biliar, similar a lo encontrado en otros estudios 20,21.
Como fue demostrado en el análisis multivariado de la cohorte estudiada en esta investigación, los pacientes obesos son más propensos a la conversión, hallazgo similar a un estudio realizado en 2006 22.
Donde los participantes con un mayor índice de masa corporal (IMC) tuvieron más riesgo de desarrollar procesos inflamatorios severos o fibróticos complejos del lecho hepatobiliar, lo que asociado a las dificultades técnicas propias de los pacientes obesos dificultó aún más la disección, por lo que se han propuesto algunas estrategias para disminuir el riego de conversión 23, que sumadas al aumento de experiencia en el entrenamiento, formación quirúrgica laparoscópica, mejoramiento continuo de tecnologías y advenimiento de nuevos instrumentos de abordaje, han disminuido el factor de riesgo para la conversión relacionado con la obesidad 24.
Dentro de las limitaciones, se reconoce el subregistro de algunas variables de laboratorio y en algunos casos el no poder contar con adecuados informes ecográficos. Por datos faltantes superiores al 20 % fue necesario desestimar variables de interés en relación con la conversión a técnica abierta.
Conclusión – Técnica Abierta en la Colecistectomía Laparoscópica
Se determinaron como factores relacionados con un mayor riesgo de conversión el tener más de 20 años de experiencia laboral, la obesidad, el hallazgo ecográfico de engrosamiento de la pared vesicular y una escala de Parkland elevada. En la planeación de la colecistectomía laparoscópica, se deben identificar de forma temprana los factores de riesgo para conversión.
Cumplimiento de normas éticas – Técnica Abierta en la Colecistectomía Laparoscópica
Consentimiento informado: Este estudio se rige por la legislación nacional para investigación de acuerdo con la Resolución 008430 de 1993 artículo 11, según la cual podemos clasificar el presente estudio como “sin riesgo”, no siendo necesaria la solicitud de un consentimiento informado.
El diseño y la metodología fueron aprobados por el director técnico científico, así como por el Comité de Ética Institucional de la Clínica Central OHL Ltda., por el Comité Institucional de Ética de investigación en seres humanos según acta 185, y por el Comité de Investigación e Innovación según acta 273 de la Facultad de Medicina de la Universidad CES de Medellín, Colombia.
Conflictos de interés: los autores declararon no tener ningún conflicto de intereses.
Fuente de financiación: el presente estudio fue financiado con los recursos de los autores.
Contribución de los autores
– Concepción y diseño del estudio: César Rafael Ensuncho-Hoyos, Carolina Isabel Negrete-Spath, Libia María Rodríguez-Padilla.
– Adquisición de datos: César Rafael Ensuncho-Hoyos, Carolina Isabel Negrete-Spath, Libia María Rodríguez- Padilla.
– Análisis e interpretación de datos: César Rafael Ensuncho-Hoyos, Carolina Isabel Negrete-Spath, Libia María Rodríguez-Padilla.
– Redacción del manuscrito: César Rafael Ensuncho- Hoyos, Carolina Isabel Negrete-Spath, Libia María Rodríguez-Padilla.
– Revisión crítica: César Rafael Ensuncho-Hoyos, Carolina Isabel Negrete-Spath, Libia María Rodríguez-Padilla.
Referencias – Técnica Abierta en la Colecistectomía Laparoscópica
1 Martínez-Salas AJ, Cázares-García V, Martínez-Oñate AJ. Colecistectomía laparoscópica por puerto único. Estudio prospectivo no aleatorizado de 106 casos. Cir Gen. 2021;43:86-96. https://doi.org/10.35366/106719
2 Balciscueta I, Barbera F, Lorenzo J, Martínez S, Sebastián M, Balciscueta Z. Ambulatory laparoscopic cholecystectomy: Systematic review and meta-analysis of predictors of failure. Surgery. 2021;170:373-82. https://doi.org/10.1016/j.surg.2020.12.029
3 Chama-Naranjo A, Farell J, Cuevas VJ. Colecistectomía Segura: ¿qué es y cómo hacerla? ¿cómo Lo hacemos nosotros? Rev Colomb Cir. 2021;36:324-33. https://doi.org/10.30944/20117582.733
4 Buhavac M, Elsaadi A, Dissanaike S. The Bad Gallbladder. Surg Clin N Am. 2021;101:1053-65. https://doi.org/10.1016/j.suc.2021.06.004
5 Sanford DE. An update on technical aspects of cholecystectomy. Surg Clin N Am. 2019;99:245-58. https://doi.org/10.1016/j.suc.2018.11.005
6 Chinchilla PA, Baquero DR, Ruiz JE. Factores preoperatorios de riesgo asociados a conversión a técnica abierta en colecistectomía laparoscópica de urgencia. Rev Colomb Cir. 2018;33:145-53. https://doi.org/10.30944/20117582.56
7 Álvarez LF, Rivera D, Esmeral ME, García MC, Toro DF, Roja OL. Colecistectomía laparoscópica difícil, estrategias de manejo. Rev Colomb Cir. 2013;28:186-95.
8 Vargas L, Agudelo M, Lizcano R, Martínez M, Velandia L, Sánchez S, et al. Factores asociados con la conversión de la colecistectomía laparoscópica a colecistectomía abierta. Rev Colomb Gastroenterol. 2017;32:20-3. https://doi.org/10.22516/25007440.125
Bibliografías – Técnica Abierta en la Colecistectomía Laparoscópica
9 Yokoe M, Hata J, Takada T, Strasberg S, Asbun H, Wakabayashi G, et al. Tokyo Guidelines 2018: diagnostic criteria and severity grading of acute cholecystitis. J Hepatobiliary Pancreat Sci. 2018;25:41-54. https://doi.org/10.1002/jhbp.515
10 Gallaher JR, Charles A. Acute cholecystitis. A review. JAMA. 2022;327:965-75. https://doi.org/10.1001/jama.2022.2350
11 Nassar AH, El Zanati H, Ng HJ, Khan KS, Wood C. Open conversion in laparoscopic cholecystectomy and bile duct exploration: subspecialisation safely reduces the conversion rates. Surg Endosc. 2022;36:550-8. https://doi.org/10.1007/s00464-021-08316-1
12 Lee W, Jang JY, Cho JK, Hong SC, Jeong CY. Does surgical difficulty relate to severity of acute cholecystitis? Validation of the parkland grading scale based on intraoperative findings. Am J Surg. 2020;219:637-41. https://doi.org/10.1016/j.amjsurg.2018.12.005
13 Abdul GS, Avinash K, Manjunath BD, Harindranath HR, Archana CS, Mohammed A., et al. Pre-operative evaluation with parkland grading system in assessing difficult laparoscopic cholecystectomy and expectant operative and post-operative complications. Intern J Sur Scien. 2019;3:20–5. https://doi.org/10.33545/surgery.2019.v3.i3a.141
14 Gupta V, Jain G. Safe laparoscopic cholecystectomy: Adoption of universal culture of safety in cholecystectomy. World J Gastrointest Surg. 2019;11:62-84. https://doi.org/10.4240/wjgs.v11.i2.62
15 Sierra S, Zapata F, Méndez M, Portillo S, Restrepo C. Colecistectomía subtotal: una alternativa en el manejo de la colecistectomía difícil. Rev Colomb Cir. 2020;35:593- 600. https://doi.org/10.30944/20117582.565
16 Abraham S, Németh T, Benkő R, Matuz M, Váczi D, Tóth I, et al. Evaluation of the conversion rate as it relates to preoperative risk factors and surgeon experience: a retrospective study of 4013 patients undergoing elective laparoscopic cholecystectomy. BMC Surg. 2021;21:e151. https://doi.org/10.1186/s12893-021-01152-z
Lecturas Recomendadas – Técnica Abierta en la Colecistectomía Laparoscópica
17 Zhang WJ, Li JM, Wu GZ, Luo KL, Dong ZT. Risk factors affecting conversion in patients undergoing laparoscopic cholecystectomy. ANZ J Surg. 2008;78:973-6. https://doi.org/10.1111/j.1445-2197.2008.04714.x
18 Falcioni M, Maurette R, Bogetti D, Pirchi D. Conversions in laparoscopic cholecystectomy: experience in a hospital with residence after two decades of learning curve. Acta Gastroenterol Latin. 2018;48:175-80
19 Alemi F, Seiser N, Ayloo S. Gallstone Disease: Cholecystitis, Mirizzi syndrome, Bouveret syndrome, gallstone ileus. Surg Clin North Am. 2019;99:231-44. https://doi.org/10.1016/j.suc.2018.12.006
20 Morales-Maza J, Rodríguez-Quintero JH, Santes O, Aguilar- Frasco JL, Romero-Vélez G, García-Ramos ES, et al. Conversión de colecistectomía laparoscópica a abierta: análisis de factores de riesgo con base en parámetros clínicos, de laboratorio y de ultrasonido. Rev Gastroenterol Méx. 2021;86:363–9. https://doi.org/10.1016/j.rgmx.2020.07.011
21 Panni RZ, Strasberg SM. Preoperative predictors of conversion as indicators of local inflammation in acute cholecystitis: strategies for future studies to develop quantitative predictors. J Hepatobiliary Pancreat Sci. 2018;25:101-8. https://doi.org/10.1002/jhbp.493
22 Giger UF, Michel JM, Opitz I, Th Inderbitzin D, Kocher T, Krähenbühl L; Swiss Association of Laparoscopic and Thoracoscopic Surgery (SALTS) Study Group. Risk factors for perioperative complications in patients undergoing laparoscopic cholecystectomy: analysis of 22,953 consecutive cases from the Swiss Association of Laparoscopic and Thoracoscopic Surgery database. J Am Coll Surg. 2006;203:723-8. https://doi.org/10.1016/j.jamcollsurg.2006.07.018
23 Russell TB, Aroori S. How we do it: Laparoscopic cholecystectomy in patien ts with severe obesity. Turk J Surg. 2021;37:413-6. https://doi.org/10.47717/turkjsurg.2021.5452
24 Bernal-Delgado YM, Cargua-Zarria VJ, Villamarin-Andino JA, Palacios-Castro NF. Factores influyentes en la conversión de colecistectomía vídeo laparoscópica a cirugía general. RECIMUNDO. 2021;5:378-86. https://doi.org/10.26820/recimundo/5.(3).sep.2021.378-386
Autores – Técnica Abierta en la Colecistectomía Laparoscópica
1 César Rafael Ensuncho-Hoyos, Médico, especialista en Cirugía general, clínica IMAT Oncomédica Auna, profesor Facultad de medicina, Universidad del Sinú,
Montería, Colombia.
2 Carolina Isabel Negrete-Spath, Médico, clínica Cardio VID, Medellín, Colombia.
3 Libia María Rodríguez-Padilla, Bacterióloga y laboratorista clínico, magister en Epidemiología, profesora Facultad de medicina, Pontificia Universidad Bolivariana, Medellín, Colombia.
Fecha de recibido: 21/11/2022 – Fecha de aceptación: 11/05/2023 – Publicación en línea: 15/07/2023
Correspondencia: César Rafael Ensuncho-Hoyos, Calle 57 # 11-17, Montería, Colombia. Teléfono: +57 300 8170499.
Dirección electrónica: censunch@hotmail.com Citar como: Ensuncho-Hoyos CR, Negrete-Spath CI, Rodríguez-Padilla LM. Factores asociados con la conversión a técnica abierta en la colecistectomía laparoscópica. Rev Colomb Cir. 2023;38:666-76. https://doi.org/10.30944/20117582.2305
Este es un artículo de acceso abierto bajo una Licencia Creative Commons – BY-NC-ND https://creativecommons.org/licenses/by-nc-nd/4.0/deed.es






