Sangre Total Leucorreducida y Filtro Ahorrador de Plaquetas preserva su Función Hemostática por 21 Días: ¿La Resucitación Hemostática podría ser una realidad en Colombia?
Leukoreduced whole blood and platelet-sparing filter preserves its hemostatic function for 21 days: Could hemostatic resuscitation become a reality in Colombia?
Resumen
Introducción. La resucitación hemostática es una estrategia para compensar la pérdida sanguínea y disminuir el impacto de la coagulación inducida por trauma.
Debido a que la disponibilidad de transfundir una razón equilibrada de hemocomponentes es difícil de lograr en el entorno clínico, la sangre total ha reaparecido como una estrategia fisiológica, con ventajas logísticas, que le permiten ser accesible para iniciar tempranamente la resucitación hemostática.
El objetivo de este estudio fue evaluar las propiedades celulares, coagulantes y viscoelásticas de la sangre total almacenada por 21 días.
Métodos. Las unidades de sangre total fueron obtenidas de 20 donantes voluntarios sanos. Se procesaron mediante un sistema de leucorreducción ahorrador de plaquetas y fueron almacenadas en refrigeración (1-6°C) sin agitación. Se analizaron los días 0, 6, 11 y 21.
Las bolsas fueron analizadas para evaluar las líneas celulares, niveles de factores de coagulación y propiedades viscoelásticas mediante tromboelastografía.
Resultados. El conteo eritrocitario y la hemoglobina se mantuvieron estables. El conteo de plaquetas tuvo una reducción del 50 % al sexto día, pero se mantuvo estable el resto del seguimiento.
Los factores de coagulación II-V-VII-X, fibrinógeno y proteína C se mantuvieron dentro del rango normal. La tromboelastografía mostró una prolongación en el tiempo del inicio de la formación del coágulo, pero sin alterar la formación final de un coágulo estable.
Conclusiones. La sangre total leucorreducida y con filtro ahorrador de plaquetas conserva sus propiedades hemostáticas por 21 días. Este es el primer paso en Colombia para la evaluación clínica de esta opción, que permita hacer una realidad universal la resucitación hemostática del paciente con trauma severo.
Palabras Clave: sangre total; conservación de sangre; hemostasis; resucitación; choque hemorrágico; transfusión sanguínea.
Abstract
Background. Hemostatic resuscitation is a strategy to compensate blood loss and reduce the impact of traumainduced coagulopathy. However, balanced resuscitation presents challenges in its application in the clinical setting. Whole blood has re-emerged as a physiologic strategy with logistical advantages that offer the opportunity for early initiation of hemostatic resuscitation. The study aims to evaluate the cellular, coagulation, and viscoelastic properties of whole blood preserved for 21 days.
Methods. Whole blood units were donated by 20 healthy volunteers. These units were processed using a plateletsparing leukoreduction filtration system. Units were stored under refrigeration (1-6°C) without agitation and were sampled on days 0, 6, 11, 16, and 21.
The units were tested to assess its cellular properties and coagulation factors levels. In addition, viscoelastic features were tested using tromboelastography.
Results. Red blood cells count and hemoglobin levels remained stables. Platelet count had a 50% reduction on day 6, and then remained stable for 21 days. Factors II-V-VII-X, fibrinogen, and protein C remained within normal range. Tromboelastrography test showed that the reaction time of clot formation is prolonged, but the final clot formation is not altered.
Conclusion. Whole blood retains its hemostatic properties for 21 days. This is the first step to evaluate the use of whole blood in the resuscitation protocols for Colombia allowing hemostatic resuscitation become a universal reality.
Keywords: whole blood; blood preservation; hemostasis; resuscitation; hemorrhagic shock; blood transfusion.
Introducción – Sangre Total Leucorreducida y Filtro Ahorrador de Plaquetas
El choque hemorrágico causado por la pérdida masiva de sangre continúa siendo la principal causa de muerte en el paciente traumatizado 1,2.
La coagulopatía inducida por trauma, la acidosis, la hipotermia y la hipocalcemia se han definido como puntos clave en el manejo agudo del trauma para reducir el efecto del daño tisular y la perdidamasiva de sangre 3,4.
El desbalance multidimensional molecular, fisiológico y clínico de la coagulopatía es el directo responsable de la falta de control del sangrado, la falla orgánica, las complicaciones tromboembólicas y la muerte del paciente 5.
La resucitación hemostática intenta compensar de manera oportuna la perdida, tanto de volumen como de componentes celulares, en el paciente de trauma 6.
Se ha buscado una relación ideal de transfusión de hemoderivados para poder compensar los efectos deletéreos de la coagulopatía inducida por trauma, con resultados a favor de una relación fisiológica de 1:1:1 de glóbulos rojos, plasma fresco congelado y plaquetas 7.
Igualmente, protocolos de transfusión masiva y transfusión guiada por pruebas viscoelásticas, como tromboelastografia o tromboelastometria rotacional, han sido implementados para guiar las medidas de resucitación hemostática 8–10.
Los militares norteamericanos en los últimos años, en el marco de las guerras de Iraq y Afganistán, han retomado el uso de sangre total que había sido utilizada durante la II guerra mundial y la guerra de Corea 11,12.
Pero, en la guerra de Vietnam fue remplazada por la reanimación con coloides y cristaloides, que junto con la separación de la sangre por componentes, hizo caer en desuso la sangre total 13.
Las ventajas de la sangre total son la reducción en el volumen de transfusión:
La menor demanda técnica y el cumplimiento de una proporción fisiológica de transfusión. Una unidad de sangre total aporta mayor hematocrito, plaquetas y actividad de los factores de coagulación comparado con sangre reconstituida a razón de 1:1:1 1,14,15.
Una ventaja técnica potencial del uso de sangre total es la posibilidad de aplicar la resucitación hemostática en lugares donde los bancos de sangre tienen recursos limitados o inclusive en áreas que carecen de ellos 3,16.
Los avances en el tratamiento de la sangre total, como la leucorredución o los sistemas ahorradores de plaquetas, han permitido controlar los riesgos de reacciones transfusionales.
No obstante, aun no existe claridad si la sangre total conserva sus propiedades hemostáticas en periodos mayores de 14 días.
Es por esto que el grupo investigador tiene como hipótesis que la conservación de sangre total por un periodo mayor de 15 días, sin comprometer su capacidad hemostática en bancos de sangre civiles, sería la herramienta ideal para ser aplicada en los servicios de atención de trauma en Colombia, haciendo la resucitación hemostática una realidad universal.
El objetivo de este estudio fue evaluar las propiedades celulares, coagulantes y viscoelásticas de la sangre total almacenada por 21 días en el banco de sangre de un centro de referencia de Trauma, en Cali, Colombia.
Métodos – Sangre Total Leucorreducida y Filtro Ahorrador de Plaquetas
Diseño del estudio
Estudio descriptivo sobre los componentes celulares, factores de coagulación y viscoelasticidad de sangre total.
La donación de sangre se realizó siguiendo la norma para el control de calidad de componentes sanguíneos y el manual de normas técnicas para bancos de sangre del Instituto Nacional de Salud de Colombia. El volumen obtenido por donación fue de aproximadamente entre 405 a 495 ml.
Leucorredución, filtración y conservación
La sangre donada fue almacenada en sistemas de sangre total de bolsas IMUFLEX™ (Ref. BB*LGQ456E6 de Terumo®).
Estas bolsas cuádruples se componen de un filtro en línea para la leucodepleción de la sangre con ahorro de plaquetas, a la que se adicionó 63 ml de solución de Citrato- Fosfato-Dextrosa para una conservación de 21 días. El almacenamiento se hizo sin agitación y en refrigeración entre 1 y 6 °C. Se extrajeron 4 ml de sangre de cada bolsa para cada análisis realizado.
Medición de laboratorio
Las líneas celulares y los factores de coagulación fueron evaluados en la siguiente temporalidad: día 0, día 6, día 11, día 16 y día 21. Las pruebas viscoelásticas se realizaron en el día 1, día 3, día 7, día 14 y día 21.
Líneas celulares
El recuento de glóbulos rojos fue estimado mediante técnica de corriente directa y enfoque hidrodinámico. La concentración de hemoglobina se estimó a través de la metodología de sulfohemoglobina.
Se estimaron propiedades como el hematocrito, volumen corpuscular medio, hemoglobina corpuscular media y ancho de distribución eritrocitario. El recuento plaquetario y el volumen corpuscular plaquetario fueron también incluidos.
Factores de coagulación
Se realizaron estimaciones cuantitativas de los factores de coagulación II, V, VII, VIII, IX, X y XI basados en ensayo de tiempo de protrombina según IL Coagulation Systems (HemosIL®). La proteína C fue cuantificada a través de ensayo cromogénico automatizado (HemosIL®).
El fibrinógeno fue estimado de acuerdo con el método de Clauss según IL Coagulation Systems (HemosIL®)
Viscoelasticidad
Se evaluó a través de Tromboelastografia (TEG), incluyendo variables como el tiempo de reacción (R), que mide el tiempo transcurrido para las formación de las primeras bandas de fibrina, el tiempo de coagulación (K), que evalúa el tiempo que transcurre desde el comienzo de la formación de fibrina hasta que el coágulo logre su máxima fuerza, el ángulo-α, formado por la intercepción entre R y la pendiente de K, que refleja la velocidad de formación del coágulo, la amplitud máxima (MA), que evalúa el momento en que el coágulo alcanza su máxima fortaleza debido a la interacción entre la fibrina con el número y la función plaquetaria, y la fuerza del coágulo de forma global (G) 17.
Análisis estadístico
Los datos continuos se describieron como medianas y rangos de mínimo y máximo.
La comparación de la distribución de los datos continuos entre los días se evaluó mediante la prueba de rangos de Kruskal-Wallis test y, en caso de que fuera estadísticamente significativa la diferencia entre grupos, se realizó un análisis post-hoc mediante corrección de Bonferroni y test de rango de Tukey, para estimar qué días fueron diferentes respecto al valor inicial. El análisis estadístico se realizó mediante R-Language 4.1.0 18.
Resultados – Sangre Total Leucorreducida y Filtro Ahorrador de Plaquetas
Las unidades de sangre total tuvieron un conteo de leucocitos después de la leucorreducción menor a 1000 cel/dL. Respecto a las propiedades de los glóbulos rojos, se mantuvieron estables por los 21 días el recuento de eritrocitos, la hemoglobina, el hematocrito y la hemoglobina corpuscular media.
Sin embargo, el volumen corpuscular medio (VCM) se aumentó después del día 11, efecto que se mantuvo hasta el día 21. Este aumento en el volumen eritrocitario también se observó en la desviación estándar del ancho de distribución eritrocitaria después del día 11 (Tabla 1).
Tabla 1. Propiedades evaluadas durante 21 días de las unidades de
sangre total leucorreducidas y con filtro ahorrador de plaquetas

Respecto al conteo plaquetario (Figura 1), la mediana en la reducción de las plaquetas entre el día 0 y 6 fue de 54,1 % (rango 13,3 – 87,3 %), pero el resto de los días el conteo plaquetario se mantuvo estable, con una mediana para el día 21 de 95.000 cel/dL (rango 64.000-143.000 cel/dL).

Figura 1. Seguimiento del conteo plaquetario y el volumen plaquetario medio.
Fuente: propia de los autores.
El volumen plaquetario no se vio afectado durante el periodo de seguimiento.
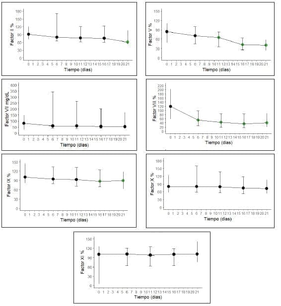
Los factores de coagulación dependientes de vitamina K tuvieron unos niveles estables durante el tiempo observado. Sin embargo, los valores del factor II decayeron de manera significativa hacia el día 21 comparado con el inicial, en un 26,5 % (rango 0,9 – 37,9 %) (Figura 2).

Figura 2. Seguimiento de los factores de coagulación II-V-VII-VIII-IX-X-XI.
Fuente: propia de los autores.
Los valores del factor IX decayeron después del día 16 en un 33,8 % (rango 28 – 37,9 %).
Respecto a los demás factores de coagulación, el factor V tuvo un descenso sostenido después del día 11, en que tuvo una reducción del 20,7 % (rango 4,6 – 37,5 %) respecto al valor de base y el factor VIII tuvo un descenso significativo al día 6 de 53,5 % (rango 44,6 – 67,2 %), pero luego la concentración se mantuvo estable durante toda la ventana de observación.
El factor IX mantuvo concentraciones estables durante el seguimiento, así como, las concentraciones de fibrinógeno y proteína C.
Entre las pruebas de coagulación, los tiempos de protrombina y parcial de tromboplastina tuvieron una prolongación significativa persistente en el periodo de estudio.
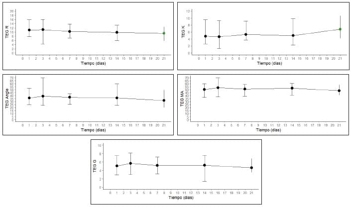
Las pruebas viscoelásticas mostraron que, al primer día, las unidades de sangre total presentaron una prolongación en el tiempo R de la formación del coágulo en 12/20 unidades de sangre total (Figura 3).

Figura 3. Seguimientos de las propiedades viscoelásticas medidas por Tromboelastografia.
Fuente: propia de los autores.
También se prolongó la velocidad (ángulo-α) y el tiempo K de la formación de la máxima-fuerza del coágulo en todas las unidades de sangre.
Sin embargo, la máxima fortaleza del coágulo debido a la interacción de la fibrina y las plaquetas (Parámetro MA) solo estaba reducido en la mitad de las bolsas. La fuerza global del coágulo (Parámetro G) estaba reducido en 7/20 unidades de sangre total.
Todos estos parámetros se mantuvieron estables en el periodo de seguimiento, excepto por una prolongación del tiempo K y una reducción del tiempo R hacia el día 21, en 6/20 unidades de sangr e total.
Discusión – Sangre Total Leucorreducida y Filtro Ahorrador de Plaquetas
Se evidenció que la sangre total puede conservarse por un periodo de 21 días, manteniendo sus concentraciones de hemoglobina y glóbulos rojos, con recuento de plaquetas superior a la sangre reconstituida de una relación 1:1:1, y factores de coagulación dependiente de vitamina K, V y VIII estables.
La viscoelasticidad de la formación del coágulo mostró una prolongación en la formación del coágulo, pero sin afectar la fuerza de este.
Estos hallazgos sugieren que la sangre total mantiene niveles celulares y de factores de coagulación adecuados, preservando su función coagulante.
Estos resultados son similares a los reportados anteriormente en la literatura.
Haddaway y colaboradores 19 realizaron una evaluación de las propiedades hemostáticas de sangre total congelada leucorreducida con o sin filtro ahorrador de plaquetas durante 14 días y encontraron que los parámetros tromboelastograficos se mantuvieron estables, los tiempos de coagulación y la actividad de los factores de coagulación no fueron afectados con el filtro ahorrador de plaquetas.
Pidcoke y colaboradores 11, evaluaron el impacto de la temperatura de almacenamiento entre 4°C y 22°C en unidades de sangre total con filtro de reducción de patógenos, observando que las unidades congeladas tuvieron una disminución constante de los tiempos de coagulación y el tiempo de agregación se disminuyó; sin embargo, al comparar las unidades según su temperatura de almacenamiento, se reportó que las unidades congeladas preservaron los parámetros tromboelastográficos.
Respecto a las propiedades viscoelásticas:
Strandeness y colaboradores 20 realizaron un análisis detallado a través de tromboelastometría rotacional de sangre total congelada leucorreducida por 14 días, demostrando una preservación de la función del fibrinógeno y de las plaquetas, pero una disminución de la firmeza del coágulo al día 10.
Datos que difieren a los nuestros, donde reportamos una constante preservación de la fortaleza de la formación del coágulo.
El método de leucorreducción y filtración de ahorro de plaquetas en los últimos años parecer ser el mejor para la preservación de sangre total, con facilidades en su conservación y sin compromiso a corto plazo si hay tardanza entre la donación y el filtración de las unidades 21,22.
El uso de sangre total ya ha comenzado a ser evaluado en el manejo del trauma civil.
Siletz y colaboradores 23 presentaron los resultados de un estudio piloto donde compararon pacientes tratados con sangre total y terapia de hemocomponetes versus pacientes tratados únicamente con hemocomponentes, encontrando una relación de transfusión de glóbulos rojos: plasma superior en el grupo de sangre total.
La mortalidad asociada en este grupo de sangre total y terapia de hemocomponetes fue del 4,4 % en comparación con el grupo de la terapia convencional, donde fue del 11,7 %, pero la diferencia no fue estadísticamente significativa.
El principal beneficio de la sangre total es que permitiría iniciar una resucitación hemostática más temprana.
Si el tiempo entre la lesión y el inicio de la transfusión es menor, la probabilidad de supervivencia puede aumentar en el paciente traumatizado 24,25.
Este hallazgo también se ha empezado a observar en las medidas de resucitación prehospitalarias con el uso de sangre total con bajos títulos de sangre O positivo, donde a pesar de que los pacientes tuvieran un peor estado fisiológico, la mortalidad fue menor, en comparación con los pacientes no transfundidos 26.
Las ventajas técnicas en el almacenamiento de la sangre total, la conservación de sus propiedades hemostáticas y la facilidad de que en una sola transfusión se cumplan los requerimientos que se intentan alcanzar cuando se realiza una transfusión con hemocomponentes, dan a la sangre total un papel prometedor en la reanimación hemostática.
Actualmente, según el informe de la Organización Panamericana de la Salud, en Latinoamérica, y en especial en Colombia, la tasa de donación para el año 2017 era de 17,2 por cada 1000 habitantes, y tan solo el 18,2 % eran donantes que repetían.
Además, la oferta de hemocomponentes es insuficiente para el cumplimiento de sangre total reconstituida, ya que el 94 % de la sangre donada se separa para glóbulos rojos, el 55 % para plasma y el 35 % para plaquetas 3,16.
Por estas razones, se propone la implementación a mediano plazo para que la sangre total pueda estar disponibles en instituciones que cuentan con bancos de sangre con recursos limitados y un bajo nivel de transfusión para la atención de los pacientes de trauma, o inclusive, comenzar su aplicación desde los entornos prehospitalarios en Colombia 27.
Una de las limitaciones de este estudio es que no se evaluó la capacidad de agregación plaquetaria, a pesar de la evaluación de las propiedades viscoelásticas, lo que no permite conocer con claridad el efecto de la sangre total sobre este proceso.
Por otro lado, la muestra de los donantes fue de personas jóvenes sanas en un solo centro hospitalario siguiendo el protocolo institucional, lo cual puede presentar sesgos al extrapolar estos resultados a las condiciones de conservación en bancos de sangre en instituciones de menor nivel de atención.
Los resultados y las condiciones del estudio son favorables para que se pueda iniciar una segunda investigación en la que se evalúe la aplicabilidad del uso de sangre total en los protocolos de transfusión masiva del paciente traumatizado, inclusive en condiciones prehospitalarias.
Conclusiones – Sangre Total Leucorreducida y Filtro Ahorrador de Plaquetas
La sangre total leucorreducida y con filtro ahorrador de plaquetas conserva sus propiedades celulares, factores de coagulación y la calidad de la formación del coágulo por 21 días. La sangre total presenta ventajas técnicas en los requerimientos de la resucitación hemostática.
Este es el primer paso para la evaluación clínica en Colombia como una herramienta que permita hacer una realidad universal la resucitación hemostática del paciente con trauma severo.
Cumplimiento de normas éticas
Consentimiento informado: El estudio (Protocolo No. 1446) fue aprobado por el Comité de Ética en Investigación Biomédica de la Fundación Valle del Lili (carta de aprobación IRB/EC No. 343-2019), siguiendo los lineamientos de la Resolución 8430 de 1995 de la República de Colombia y la declaración de Helsinki. El consentimiento informado fue obtenido de voluntarios sanos hombres y mujeres nulíparas.
Conflicto de Intereses: Los autores declaran no tener ningún tipo de conflicto de intereses con la presente investigación.
Financiación: Centro de Investigaciones Clínicas (CIC), Fundación Valle del Lili, Cali, Colombia.
Contribución de los autores
– Concepción y diseño del estudio: Carlos Muñoz, Carmenza Macia, Alberto García, Carlos A. Ordoñez.
– Construcción de la base de datos y validación de datos: Carmenza Macia, Edna Hernández, Mónica Guzmán- Rodríguez, Claudia Orlas, Yaset Caicedo, Alberto García, Carlos A. Ordoñez.
– Diligenciamiento de la base de datos: Carlos Muñoz, Edna Hernández, Mercedes Alcalá, Mónica Guzmán- Rodríguez, Claudia Orlas, Yaset Caicedo.
– Análisis y síntesis de datos: Yaset Caicedo, Alberto García, Carlos A. Ordoñez.
– Redacción del manuscrito: Carlos Muñoz, Carmenza Macia, Mónica Guzmán-Rodríguez, Alberto García, Michael Parra, Carlos A. Ordoñez.
– Revisión de estilo y revisión crítica: Carlos Muñoz, Carmenza Macia, Edna Hernández, Mercedes Alcalá, Claudia Orlas, Yaset Caicedo, Alberto García, Michael Parra, Carlos A. Ordoñez.
Referencias – Sangre Total Leucorreducida y Filtro Ahorrador de Plaquetas
1. Murdock AD, Berséus O, Hervig T, Strandenes G, Lunde TH. Whole blood: the future of traumatic hemorrhagic shock resuscitation. Shock. 2014;41 Suppl 1:62–9. https://doi.org/10.1097/SHK.0000000000000134
2. Kisat M, Morrison JJ, Hashmi ZG, Efron DT, Rasmussen TE, Haider AH. Epidemiology and outcomes of non-compressible torso hemorrhage. J Surg Res. 2013;184:414–21. https://doi.org/10.1016/j.jss.2013.05.099
3. Salamea JC, Himmler A, Valencia-Angel LI, Ordoñez CA, Parra M, Caicedo Y, et al. Whole blood for blood loss: Hemostatic resuscitation in damage control. Colomb Med. 2020;51:e4044511. https://doi.org/10.25100/cm.v51i4.4511
4. Ditzel RM, Anderson JL, Eisenhart WJ, Rankin CJ, De- Feo DR, Oak S, Siegler J. A review of transfusion- and trauma-induced hypocalcemia: Is it time to change the lethal triad to the lethal diamond? J Trauma Acute Care Surg. 2020;88:434–9. https://doi.org/10.1097/TA.0000000000002570
5. Kornblith LZ, Moore HB, Cohen MJ. Trauma-induced coagulopathy: The past, present, and future. J Thromb Haemost. 2019;17:852–62. https://doi.org/10.1111/jth.14450
6. Kalkwarf KJ, Cotton BA. Resuscitation for hypovolemic shock. Surg Clin North Am. 2017;97:1307–21. https://doi.org/10.1016/j.suc.2017.07.011
7. Cantle PM, Cotton BA. Balanced resuscitation in trauma management. Surg Clin North Am. 2017;97:999–1014. https://doi.org/10.1016/j.suc.2017.06.002
Bibliografías – Sangre Total Leucorreducida y Filtro Ahorrador de Plaquetas
8. Gonzalez E, Moore EE, Moore HB. Management of trauma- induced coagulopathy with thrombelastography. Crit Care Clin. 2017;33:119–34. https://doi.org/10.1016/j.ccc.2016.09.002
9. Nunez TC, Young PP, Holcomb JB, Cotton BA. Creation, implementation, and maturation of a massive transfusion protocol for the exsanguinating trauma patient. J Trauma Acute Care Surg. 2010;68:1498–505. https://doi.org/10.1097/TA.0b013e3181d3cc25
10. Meneses E, Boneva D, McKenney M, Elkbuli A. Massive transfusion protocol in adult trauma population. Am J Emerg Med. 2020;38:2661–6. https://doi.org/10.1016/j.ajem.2020.07.041
11. Pidcoke HF, McFaul SJ, Ramasubramanian AK, Parida BK, Mora AG, Fedyk CG, et al. Primary hemostatic capacity of whole blood: a comprehensive analysis of pathogen reduction and refrigeration effects over time. Transfusion. 2013;53 Suppl 1:137S-149S. https://doi.org/10.1111/trf.12048
12. Repine TB, Perkins JG, Kauvar DS, Blackborne L. The use of fresh whole blood in massive transfusion. J Trauma Acute Care Surg. 2006;60:S59-69. https://doi.org/10.1097/01.ta.0000219013.64168.b2
13. Spinella PC, Cap AP. Whole blood: back to the future. Curr Opin Hematol. 2016;23:536–42. https://doi.org/10.1097/MOH.0000000000000284
Lecturas Recomendadas – Sangre Total Leucorreducida y Filtro Ahorrador de Plaquetas
14. Armand R, Hess JR. Treating coagulopathy in trauma patients. Transfus Med Rev. 2003;17:223–31. https://doi.org/10.1016/s0887-7963(03)00022-1
15. Spinella PC, Perkins JG, Grathwohl KW, Beekley AC, Holcomb JB. Warm fresh whole blood is independently associated with improved survival for patients with combat-related traumatic injuries. J Trauma Acute Care Surg. 2009;66:S69-S76. https://doi.org/10.1097/TA.0b013e31819d85fb
16. Pan American Health Organization PAHO. Supply of blood for transfusion in Latin American and Caribbean countries, 2014 and 2015. Fecha de consulta:15 de agosto de 2021. Disponible en: https://iris.paho.org/handle/10665.2/340832017
17. Raffán-Sanabria F, Ramírez FJ, Cuervo JA, Sánchez-Marín LF. Tromboelastografía. Rev Colomb Anestesiol. 2005;33:181–6.
18. R Core Team. R: A language and environment for statistical computing. 2021. Disponible en: https://www.r-project.org/index.html
19. Haddaway K, Bloch EM, Tobian AAR, Frank SM, Sikorski R, Cho BC, et al. Hemostatic properties of cold-stored whole blood leukoreduced using a platelet-sparing versus a non-platelet-sparing filter. Transfusion. 2019;59:1809–17. https://doi.org/10.1111/trf.15159
20. Strandenes G, Austlid I, Apelseth TO, Hervig TA, Sommerfelt- Pettersen J, Herzig MC, et al. Coagulation function of stored whole blood is preserved for 14 days in austere conditions: A ROTEM feasibility study during a Norwegian antipiracy mission and comparison to equal ratio reconstituted blood. J Trauma Acute Care Surg. 2015;78:S31-S38. https://doi.org/10.1097/TA.0000000000000628
Referencias Bibliográficas – Sangre Total Leucorreducida y Filtro Ahorrador de Plaquetas
21. Remy KE, Yazer MH, Saini A, Mehanovic-Varmaz A, Rogers SR, Cap AP, Spinella PC. Effects of platelet-sparing leukocyte reduction and agitation methods on in vitro measures of hemostatic function in cold-stored whole blood. J Trauma Acute Care Surg. 2018;84:S104–S114. https://doi.org/10.1097/TA.0000000000001870
22. Schubert P, Chen Z, Bhakta V, Culibrk B, Wambolt R, Sheffield WP, et al. Cold-stored leukoreduced whole blood: Extending the time between donation and filtration has minimal impact on in vitro quality. Transfusion. 2021;61 Suppl 1:S131–S143. https://doi.org/10.1111/trf.16540
23. Siletz AE, Blair KJ, Cooper RJ, Nguyen NC, Lewis SJ, Fang A, et al. A pilot study of stored low titer group O whole blood + component therapy versus component therapy only for civilian trauma patients. J Trauma Acute Care Surg. 2021;91:655-62. https://doi.org/10.1097/TA.0000000000003334
24. Rehn M, Weaver A, Brohi K, Eshelby S, Green L, Røislien J, Lockey DJ. Effect of prehospital red blood cell transfusion on mortality and time of death in civilian trauma patients. Shock. 2019;51:284–8. https://doi.org/10.1097/SHK.0000000000001166
25. Hyatt W, Yon JR, Haley-Andrews S. Minimizing time to plasma administration and fresh frozen plasma waste: A multimodal approach to improve massive transfusion at a Level 1 Trauma Center. J Trauma Nurs. 2019;26:234–8. https://doi.org/10.1097/JTN.0000000000000460
26. Braverman MA, Smith A, Pokorny D, Axtman B, Shahan CP, Barry L, et al. Prehospital whole blood reduces early mortality in patients with hemorrhagic shock. Transfusion. 2021;61 Suppl 1:S15–S21. https://doi.org/10.1111/trf.16528
27. Melendez JJ, Caicedo Y, Guzman M, Serna JJ, Ordoñez J, Angamarca E, et al. Prehospital damage control: The management of volume, temperature…and bleeding! Colomb Med. 2020;51:e4024486. https://doi.org/10.25100/cm.v51i4.4486
Autor – Sangre Total Leucorreducida y Filtro Ahorrador de Plaquetas
1 Carlos Muñoz, Médico, especialista en Cirugía general, fellow de Cirugía de Trauma y Emergencias, Universidad del Valle, Cali, Colombia.
2 Carmenza Macia, Médica, especialista en Patología, Banco de Sangre, Fundación Valle del Lili, Cali, Colombia.
3 Edna Hernández, Bacterióloga, Banco de Sangre, Fundación Valle del Lili, Cali, Colombia.
4 Mercedes Alcalá, Bacterióloga, Laboratorio Clínico, Fundación Valle del Lili, Cali, Colombia
5 Mónica Guzmán-Rodríguez, Médica, Magister en Ciencias Biomédicas, candidata a Doctorado en Ciencias Biomédicas, Instituto de Ciencias Biomédicas,
Facultad de Medicina, Universidad de Chile, Santiago de Chile, Chile.
6 Claudia Orlas, Médica, Research Fellow, Center for Surgery and Public Health, Department of Surgery, Brigham & Women’s Hospital. Harvard
Medical School & Harvard T.H. Chan School of Public Health, Boston, USA
7 Yaset Caicedo, Médico, Centro de Investigaciones Clínicas (CIC), Fundación Valle del Lili, Cali, Colombia.
8 Alberto García, Médico, especialista en Cirugía general y en Cirugía de Trauma y Emergencias, magister en Epidemiología; profesor, Cirugía
general, Universidad del Valle y Universidad ICESI; División de Cirugía de Trauma y Emergencias, Fundación Valle del Lili, Cali,
Colombia.
9 Michael Parra, Médico, especialista en Cirugía general y en Cirugía de Trauma, Department of Trauma Critical Care, Broward General Level I
Trauma Center, Fort Lauderdale, Florida, USA.
10 Carlos A. Ordoñez, Médico, FACS, especialista en Cirugía general y en Cirugía de Trauma y Emergencias; profesor, Cirugía general, Universidad del
Valle; División de Cirugía de Trauma y Emergencias, Fundación Valle del Lili, Cali, Colombia.
Trabajo ganador del Primer puesto en el Concurso Nacional de Investigación en Cirugía “José Félix Patiño Restrepo”, 47 Congreso Semana quirúrgica nacional “100 Líderes de la Cirugía Mundial en Colombia”, noviembre de 2021.
Fecha de recibido: 15/08/2021 – Fecha de aceptación: 14/11/2021 – Publicación en línea: 02/02/2022
Autor de Correspondencia: Carlos A. Ordoñez, Carrera 98 #18-49, Centro de investigaciones, Fundación Valle del Lili, Cali, Colombia
Tel: +57 300 631 9118. Dirección electrónica: ordonezcarlosa@gmail.com carlos.ordonez@fvl.org.co
Citar como: Muñoz C, Macia C, Hernández E, Alcalá M, Guzmán-Rodríguez M, Orlas C, Caicedo Y, García A, Parra M, Ordoñez CA. Sangre total leucorreducida y filtro ahorrador de plaquetas preserva su función hemostática por 21 días: ¿La resucitación hemostática podría ser una realidad en Colombia? Rev Colomb Cir. 2022;37:184-93. https://doi.org/10.30944/20117582.1157 Este es un artículo de acceso abierto bajo una Licencia Creative Commons – BY-NC-ND https://creativecommons.org/licenses/by-nc-nd/4.0/deed.es





