La tibolona está en el mercado en muchos países a través del mundo, como terapia hormonal postmenopáusica, pero no está aprobada en los EE. UU. Fue introducida por primera vez en Holanda, la casa matriz de su productor Organon (ahora Schering Plough), que inició la investigación de este producto en los años 1960.
Aunque la tibolona se desarrolló específicamente como una droga para el tratamiento de la osteoporosis, la actuación clínica de la tibolona la llevó rápidamente a ser aprobada para el tratamiento de los síntomas menopáusicos tan acertado como la prevención de osteoporosis.
Varios químicos y clínicos han tratado de vincular la tibolona con un acrónimo popular. Desde nuestro punto de vista, esto es innecesario y ha sido causa de la confusión creada por los múltiples nombres de marca dados (Livial, Liviel, Liviella, Boltin y Tibofem). Tibolona, su nombre genérico es un buen nombre que ha sido establecido en la historia y merece conservarse. Debido a su metabolismo único, la tibolona ejerce diferentes actividades hormonales en diferentes sitios.
Esta característica única es la que hace precisamente la droga difícil de entender.
LEON SPEROFF*
Más información de Tibolona
- El Efecto de la Tibolona en el Sistema Cardiovascular
- El Efecto de la Tibolona en Diabetes
- Efecto de Tibolona en el Hueso
La química de la tibolona en la terapia hormonal
La tibolona está químicamente relacionada con las progestinas 19 nortestosterona que se usan clínicamente como anticonceptivos. Sin embargo, su actividad depende de su metabolismo.
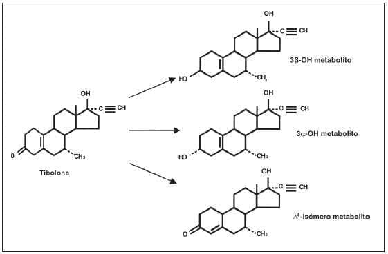
La tibolona (7-α,17- α-17-hidroxi-7-metil- 19-norpreg-5(10)-en-20-yn-3-ona) se metaboliza en primates humanos y no humanos en 3 metabolitos activos: 3 α hidroxi (3 α-OH) metabolito y el 3β hidro (3β-OH) metabolito que tienen actividades agonistas estrogénicas. Mientras el Δ-4 ketoisomero tiene efectos progestágenos y androgénicos1-2.
Aunque la tibolona se une al receptor de estrógenos, en vivo, de la actividad del 3-hidroxi metabolito que es 100 veces mayor, con una gran afinidad por el receptor estrogénico alfa más que por el receptor estrogénico beta2. La pérdida del grupo hidroxilo en la posición 3 del anillo A elimina la actividad estrogénica del isómero Δ4. El isómero Δ4 ejerce su efecto androgénico primariamente en el hígado y el cerebro.
La conversión de la tibolona en los metabolitos se hace principalmente en el hígado y en el intestino.
El metabolismo del compuesto original es rápido y casi total, y principalmente los metabolitos 3α OH y 3β-OH alcanzan la circulación. Los niveles del metabolito 3α-OH es tres veces mayor comparado con los metabolitos 3 β -OH.3,4. La tibolona y su isómero Δ-4 sólo se puede detectar en picos cada 2 horas después de la ingesta. Y aún entonces, los niveles son muy bajos, al límite de detección.
La vida media de los metabolitos:
Que predominan en la circulación (los 3α-OH y 3β-OH metabolitos) es aproximadamente de 7 horas u 8 horas, se alcanza un nivel estable por 5 días5. Comer no afecta el metabolismo, y la tibolona se puede tomar en cualquier momento del día3.
La farmacocinética de la tibolona no se afecta por la disfunción renal. Hay un efecto metabólico débil en los metabolitos en las enzimas del citocromo p450, y no se espera interferencia con drogas coadministradas4.
Después del metabolismo inicial de la tibolona, los productos se sulfatan rápidamente y más del 75% de los metabolitos circulan como sulfatos para que se activen por las sulfatasas de los tejidos4.

La tibolona está disponible en dos dosis diarias, de 1.25 mg y 2.5 mg. Hay una considerable variabilidad (cerca del 40-50%) en y entre los sujetos. Pero las dosis de 1.25 mg y 2.5 mg producidas en la misma bioequivalencia cuando se miden los niveles máximos y áreas debajo de la curva para los metabolitos 3α-OH y 3β- OH.5. Sin embargo, hay diferencias en la respuesta clínica, la cual la influenciaba la dosis escogida.
El metabolismo de la tibolona no está limitada al hígado y al intestino. Los efectos importantes se explican por el metabolismo local específico. Por ejemplo, el isómero Δ-4 se produce primariamente en el endometrio. Se une al receptor de progesterona, y protege el endometrio de los efectos agonistas de los metabolitos estrogénicos6-9.
Efecto de la tibolona como terapia hormonal en los síntomas menopáusicos
Los síntomas menopáusicos son la mayor motivación de las mujeres para el uso de terapia hormonal postmenopáusica. La tibolona debe funcionar bien en esta categoría y por lo tanto es una atractiva opción para clínicos y pacientes.
Estudios clínicos han establecido, sin duda, que la tibolona ejerce un impacto estrogénico benéfico sobre los fogajes y la resequedad vaginal. Estudios apropiados han documentado que la tibolona en una dosis diaria de 2.5 mg es tan efectiva como los regímenes postmenopáusicos convencionales en el tratamiento de los síntomas vasomotores10-16.
La dosis de 1.25 mg se demora más para hacerse efectiva, y esta dosis tiene también una mayor persistencia de los fogajes.17 Además, la tibolona trata efectivamente los efectos secundarios de los fogajes asociados a la terapia con la hormona liberadora de gonadotropinas (GnRH)18. Afortunadamente, el tratamiento con tibolona provee un efecto estrogénico en la vagina. La tibolona, 2.5 mg diarios, alivia la sequedad vaginal y la dispareunia; en la mayoría de los estudios, la tibolona es tan efectiva como el tratamiento con estrógenos12-16,19-22.
Una ventaja de la tibolona en definitiva se encuentra en estudios que examinan la sexualidad. En prospectiva, estudios aleatorios comparando la tibolona con estrógenos o terapia de estrógenos progestinas, la primera se asocia con una mejor respuesta sexual.13,18, 23-26.
Un aumento en la libido se reportó en estudios comparando tibolona con placebo22,27 y la respuesta es mayor que con terapia estrogénica. Comparable con la asociada con tratamiento con andrógenos28. El efecto general tiene incluido un aumento en el interés y el desempeño sexual, específicamente fantasía, excitación y orgasmo.
Dos posibles mecanismos para el efecto de la tibolona sobre la sexualidad:
Un efecto androgénico directo del Δ-4 isómero y/o un aumento en los niveles circulantes de testosterona libre. La tibolona está asociada con un profundo cambio en los niveles circulantes de la globulina trasportadora de las hormonas sexuales, con cerca de una disminución del 50%.22,29
Esto es indudablemente debido al isómero Δ-4 y a un efecto androgénico en el hígado. El tratamiento de la tibolona, por lo tanto, produce una disminución en la concentración de testosterona (unida y libre) pero un sustancial aumento en la cantidad de testosterona libre, no unida.
Este perfil hormonal contrasta fuertemente con la asociada a la terapia con estrógenos, la cual aumenta la globulina trasportadora de la hormona sexual y disminuye los niveles de testosterona total y libre. Los efectos secundarios de los andrógenos como el hirsutismo y acné no se han reportado con el tratamiento con tibolona.
Cuando las mujeres que estuvieron con tibolona por 10 años se compararon con un grupo control, las mujeres que se trataron fueron menos torpes, menos ansiosas en respuesta al estrés leve. También demostraron mejor memoria para hechos, aunque no hubo diferencia en la memoria para eventos y empeoró en atención sostenida y en planeación30.
Sin embargo, esta es un área en la cual no es fácil alcanzar efectos consistentes, un problema a menudo debido a las diferencias en las herramientas y definiciones. El estudio cognitivo es difícil por la necesidad de aparear a los grupos que se trataron y controles para inteligencia, edad, ocupación, educación y estado mental (p. ej. depresión)
Debido a esta dificultad, la literatura que reporta los efectos de la terapia hormonal sobre el estado cognitivo no da un cuadro consistente.
Professor of Obstetrics and Gynecology, Oregon Health & Science University, Portland, OR Traducido del inglés Gustavo Gómez T. MD
Preguntas frecuentes
¿Qué es y para qué sirve la tibolona?
La tibolona es un medicamento sintético utilizado principalmente en el tratamiento de los síntomas asociados con la menopausia, como los sofocos, la sequedad vaginal y la pérdida de densidad ósea.
Se clasifica como un modulador selectivo de los receptores de estrógeno, lo que significa que tiene efectos similares a los estrógenos en algunos tejidos, pero no en todos. También tiene efectos progestágenos y androgénicos, lo que le confiere una variedad de acciones en el cuerpo.
La tibolona se usa para aliviar los síntomas de la menopausia y también puede ayudar a prevenir la pérdida ósea en mujeres posmenopáusicas con riesgo de osteoporosis. Además, algunas mujeres pueden beneficiarse de la tibolona en términos de mejorar la calidad de vida y reducir los síntomas asociados con la menopausia, como los sofocos y los cambios de humor.
¿Cuál es la mejor hora para tomar tibolona?
La mejor hora para tomar tibolona depende de las recomendaciones específicas de tu médico y de las instrucciones en el prospecto del medicamento. Por lo general, la tibolona se toma una vez al día, preferiblemente a la misma hora todos los días, para mantener niveles consistentes en el cuerpo.
Algunas personas prefieren tomarla por la mañana con alimentos para minimizar cualquier posible malestar estomacal. Mientras que otras la toman por la noche para ayudar a controlar los síntomas nocturnos como los sofocos.
Sin embargo, siempre es mejor seguir las recomendaciones específicas de tu médico, ya que pueden ajustar la dosis y el horario de acuerdo con tus necesidades individuales y cualquier otra medicación que estés tomando.
¿Cuándo hace efecto tibolona?
El tiempo que tarda la tibolona en hacer efecto puede variar de una persona a otra. En general, algunos pacientes pueden experimentar alivio de los síntomas de la menopausia, como los sofocos, la sequedad vaginal y los cambios de humor, dentro de unas pocas semanas de comenzar el tratamiento con tibolona. Sin embargo, para otros, puede llevar más tiempo, hasta varios meses, antes de que se note una mejora significativa en los síntomas.
Es importante tener en cuenta que el efecto de la tibolona puede ser gradual y que el cuerpo puede tardar un tiempo en ajustarse al medicamento. Además, la dosis y la duración del tratamiento pueden influir en cuándo se experimenta el alivio de los síntomas. Siempre es aconsejable hablar con tu médico si tienes preguntas o inquietudes sobre el tiempo que tardará la tibolona en hacer efecto en tu caso específico.
¿Qué hormonas tiene la tibolona?
La tibolona es un medicamento sintético que tiene una estructura química única. Tiene efectos similares a los estrógenos, progesterona y testosterona en el cuerpo, pero no es exactamente igual a ninguna de estas hormonas.
En lugar de ser una hormona en sí misma, la tibolona se considera un modulador selectivo de los receptores de estrógeno, lo que significa que puede actuar como agonista (activador) o antagonista (bloqueador) de los receptores de estrógeno en diferentes tejidos del cuerpo, dependiendo de las necesidades.
La tibolona se metaboliza en el cuerpo para producir metabolitos con actividad estrogénica, progestacional y androgénica. Estos metabolitos pueden proporcionar beneficios similares a los de las hormonas naturales en ciertos tejidos, como alivio de los síntomas de la menopausia y prevención de la pérdida ósea, entre otros efectos.
Es importante destacar que, aunque la tibolona tiene efectos similares a los de las hormonas naturales, su mecanismo de acción y perfil de efectos pueden ser diferentes, y su uso debe ser supervisado por un médico para asegurar su seguridad y eficacia.
¿Qué reacciones tiene la tibolona?
La tibolona puede causar una variedad de reacciones en el cuerpo, algunas de las cuales son beneficiosas y otras pueden ser indeseables. Por ejemplo:
Beneficiosas:
Alivio de los síntomas de la menopausia: la tibolona se usa principalmente para reducir los sofocos, la sequedad vaginal, los cambios de humor y otros síntomas asociados con la menopausia.
Prevención de la pérdida ósea: la tibolona puede ayudar a prevenir la pérdida ósea en mujeres posmenopáusicas, reduciendo así el riesgo de osteoporosis y fracturas óseas.
Indeseables:
Sofocos: aunque la tibolona puede ayudar a reducir los sofocos en algunas mujeres, también puede causar sofocos como efecto secundario en algunas personas.
Cambios de humor: algunas mujeres pueden experimentar cambios de humor o irritabilidad como efecto secundario del tratamiento con tibolona.
Malestar estomacal: la tibolona puede causar malestar estomacal en algunas personas, especialmente si se toma sin alimentos.
Sensibilidad en los senos: algunas mujeres pueden experimentar sensibilidad en los senos como efecto secundario del tratamiento con tibolona.
Cambios en el sangrado vaginal: la tibolona puede causar cambios en el patrón de sangrado vaginal, como sangrado irregular o manchado.
Otros efectos secundarios menos comunes pueden incluir dolores de cabeza, mareos, aumento de peso y cambios en la libido.
Es importante tener en cuenta que no todas las personas experimentarán estos efectos secundarios, y la tolerancia y la respuesta a la tibolona pueden variar de una persona a otra. Si experimentas efectos secundarios significativos o preocupantes mientras tomas tibolona, debes comunicarte con tu médico para obtener orientación adicional.

